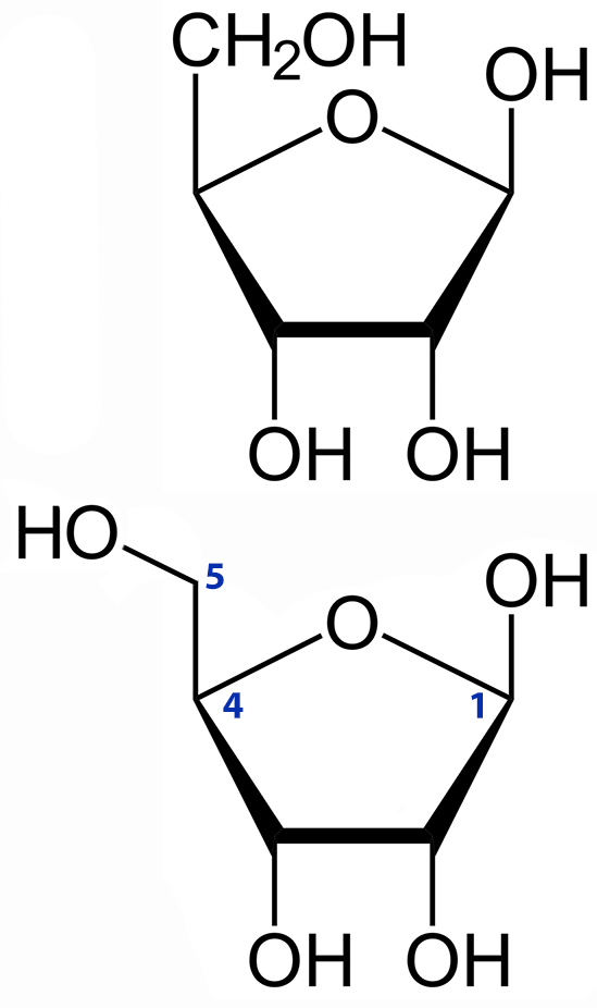
Tier - Molecules
учу вот
Choose folder to compare with

ортофосфорная кислота
) Неорганическая трёхосновная кислота средней силы. В твёрдом состоянии и концентрированных растворах между её молекулами есть водородные связи. В растворах она обменивается атомами кислорода с водой. ) В водных растворах она подвергается диссоциации по трём ступеням, причем экзотермична только диссоциация по первой ступени ) Нагревание приводит к отщеплению воды с образованием пирофосфорной и метафосфорной кислоты ) Помимо применений в технике, используется для исследований в области молекулярной биологии ) Является пищевой добавкой E338 и применяется как регулятор кислотности в газированных напитках, например в Кока-Коле. По вкусу подслащённые слабые водные растворы ортофосфорной кислоты напоминают крыжовник. ) Концентрированные растворы вызывают ожоги слизистой оболочки рта, пищевода и желудка
Mnemonic rule
от фосфора ОРТОгонально торчат кислороды

карбонильная группа
*) Выделение цветным прямоугольником показывает, что это именно группа С=О, имеющая две свободные валентные связи, к которым могут присоединяться другие составляющие молекулы, обозначенные бледно–синими буквами R1 и R2, т.е. надо понимать, что R1 и R2 НЕ входят в состав группы, а могут к ней присоединяться.
*) Может входить в состав других функциональных групп, например, амидной или карбоксильной; соединения, в состав которых входит карбонильная группа, называют карбонильными соединениями
Mnemonic rule

карбоксильная группа
) Выделение цветным прямоугольником показывает, что это именно группа С=О, имеющая одну свободную валентную связь, к которой может присоединяться другая составляющая молекулы, обозначенная бледно-синей буквой R, т.е. надо понимать, что R НЕ входят в состав группы, а может к ней присоединяться. ) -СООН — функциональная одновалентная группа, входящая в состав карбоновых кислот и определяющая их кислотные свойства. Сочетает в себе две функциональные группы — карбонил (>C=O) и гидроксил (-OH), взаимно влияющие друг на друга ) Кислотные свойства карбоновых кислот обусловлены смещением электронной плотности к карбонильному кислороду и вызванной этим дополнительной (по сравнению со спиртами) поляризации связи О-Н ) Растворимость в воде и высокие температуры кипения кислот обусловлены образованием межмолекулярных водородных связей ) С увеличением молекулярной массы растворимость кислот в воде уменьшается аминогруппа ) Функциональная химическая одновалентная группа —NH2, органический радикал, содержащий один атом азота и два атома водорода. Содержится в органических соединениях — аминах, аминокислотах, аминоспиртах и др. *) Соединения, содержащие аминогруппу, имеют, как правило, основный характер, обусловленный наличием неподелённой электронной пары на атоме азота (т.е. эту электронную пару азот может отдавать для образования ковалентной связи по донорно-акцепторному механизму, таким образом проявляя св-ва основания: кислоты предоставляют свободную орбиталь, а основания предоставляют неподеленную электронную пару)
Mnemonic rule

аминогруппа
) Функциональная химическая одновалентная группа —NH2, органический радикал, содержащий один атом азота и два атома водорода. Содержится в органических соединениях — аминах, аминокислотах, аминоспиртах и др. ) Соединения, содержащие аминогруппу, имеют, как правило, основный характер, обусловленный наличием неподелённой электронной пары на атоме азота (т.е. эту электронную пару азот может отдавать для образования ковалентной связи по донорно-акцепторному механизму, таким образом проявляя св-ва основания: кислоты предоставляют свободную орбиталь, а основания предоставляют неподеленную электронную пару)
Mnemonic rule

нитрогруппа
*) Органические соединения, содержащие одну или несколько нитрогрупп, называются нитросоединениями
Mnemonic rule

циан
*) Динитрил щавелевой кислоты. Бесцветный, огнеопасный газ с резким неприятным характерным запахом миндаля. При сгорании в чистом кислороде температура пламени может превышать 4500 °C.
*) Чрезвычайно ядовит, но по токсичности уступает синильной кислоте и её солям (цианидам)
*) Обнаружен в кометах, в атмосфере Титана
Mnemonic rule
циан - цэ-эн

метан
) Простейший по составу предельный углеводород ) При нормальных условиях - бесцветный газ без вкуса и запаха ) Нетоксичен, но при высокой концентрации в воздухе имеет слабое наркотическое действие. При хроническом воздействии малых концентраций в воздухе неблагоприятно влияет на ЦНС. ) При использовании в быту в метан (природный газ) обычно добавляют одоранты (обычно тиолы) — летучие вещества со специфическим «запахом газа», чтобы вовремя замечать утечку ) Накапливаясь в закрытом помещении в смеси с воздухом, метан становится взрывоопасен при концентрации от 4,4% до 17% ) Метан — третий по значимости парниковый газ в атмосфере Земли (после водяного пара и углекислого газа, его вклад в парниковый эффект оценивается в 4-9%)
Mnemonic rule

тефлон
*) Иначе – политетрафторэтилен, или фторопласт–4 – пластмасса, обладающая редкими физическими и химическими свойствами и широко применяемая в технике и в быту
*) Белое, в тонком слое прозрачное вещество, по виду напоминающее парафин или полиэтилен
*) Обладает высокой тепло– и морозостойкостью, остаётся гибким и эластичным при температурах от −70 до +270 °C, прекрасный изоляционный материал, обладает очень низкими поверхностным натяжением и адгезией и не смачивается ни водой, ни жирами, ни большинством органических растворителей.
*) По своей химической стойкости превосходит все известные синтетические материалы и благородные металлы. Не разрушается под влиянием щелочей, кислот и даже смеси азотной и соляной кислот. Разрушается лишь расплавами щелочных металлов, фтором и трифторидом хлора.
*) Великолепный антифрикционный материал с коэффициентом трения скольжения, наименьшим из известных доступных конструкционных материалов (даже меньше, чем у тающего льда)
*) Благодаря биологической совместимости с организмом человека он применяется для изготовления имплантатов для сердечно–сосудистой и общей хирургии, стоматологии, офтальмологии, и считается наиболее пригодным материалом для производства искусственных кровеносных сосудов и сердечных стимуляторов
*) Не вступает в реакцию с пищей, водой и бытовыми химическими средствами, безвреден при попадании в организм
Mnemonic rule

этан
) Второй член гомологического ряда алканов ) Газ без цвета и запаха ) В промышленности этан получают из природного газа и нефти и расходуют преимущественно для производства этилена ) Молекула этана имеет тетраэдрическое строение: атомы углерода являются sp3-гибридными
Mnemonic rule

этилен
) Является простейшим алкеном
) При нормальных условиях — бесцветный горючий газ легче воздуха со слабым сладковатым запахом
) Является фитогормоном - выполняет в жизненном цикле растений многообразные функции, среди которых контроль развития проростка, созревание плодов, распускание бутонов (процесс цветения), старение и опадание листьев и цветков. Этилен называют также гормоном стресса, так как он участвует в реакции растений на биотический и абиотический стресс, и синтез его в органах растений усиливается в ответ на разного рода повреждения. Кроме того, являясь летучим газообразным веществом, этилен осуществляет быструю коммуникацию между разными органами растений и между растениями в популяции, что важно, в частности, при развитии стресс-устойчивости.
) Обладает наркотическим действием
Mnemonic rule

ацетилен (этин)
) Принадлежит к классу алкинов ) При нормальных условиях — бесцветный, очень горючий газ. Чистый 100% ацетилен не обладает запахом. ) Технический ацетилен хранится в баллонах с пористым наполнителем, пропитанным ацетоном (т.к. чистый ацетилен при сжатии взрывается), и может содержать другие примеси, которые придают ему резкий запах. Струя ацетилена, выпущенная на открытый воздух, может загореться от малейшей искры, в том числе от разряда статического электричества с пальца руки. ) Обнаружен на Уране и Нептуне
Mnemonic rule
как этилен, только с АЦки сильной связью
.png?t=1591725718)
этанол (этиловый спирт)
) Иначе - винный спирт, часто в просторечии - просто «спирт». Второй представитель гомологического ряда одноатомных спиртов.
) Действующий компонент алкогольных напитков. Является депрессантом — психоактивным веществом, угнетающим центральную нервную систему человека
*) Известный с давних времён способ получения этанола — спиртовое брожение органических продуктов, содержащих углеводы (виноград, плоды и т. п.) под действием ферментов дрожжей и бактерий. Аналогично выглядит переработка крахмала картофеля, риса, кукурузы.
Mnemonic rule

диэтиловый эфир
) Бесцветная, прозрачная, очень подвижная, летучая жидкость со своеобразным запахом и жгучим вкусом ) Возможно, что впервые он был получен в IX веке алхимиком Джабир ибн Хайяном, либо алхимиком Раймундом Луллием в 1275 году. Достоверно известно, что он был синтезирован в 1540 году Кордусом, который назвал его «сладким купоросным маслом». Кордус также отметил его анестезирующие свойства. В 1680 году Роберт Бойль вторично синтезировал эфир. Затем в 1704 году Исаак Ньютон открыл эфир в третий раз, в поисках синтеза искусственного золота. Название «эфир» было дано этому веществу в 1729 году Фробениусом. В 1794 году эфир был испытан для вдыханий с целью уменьшения болей. ) Разлагается под действием света, тепла, воздуха и влаги с образованием токсичных альдегидов, пероксидов и кетонов, раздражающих дыхательные пути ) В медицине используется в качестве лекарства общеанестезирующего действия, так как его влияние на нейронные мембраны и свойство «обездвиживать» ЦНС очень специфично и полностью обратимо
Mnemonic rule

глиоксаль
*) Диальдегид щавелевой кислоты, простейший диальдегид
*) Жёлтая жидкость с запахом формалина
*) Ценный строительный блок в органическом синтезе, особенно в синтезе гетероциклов, таких как имидазол
Mnemonic rule
склеенные ГЛюоном 2 кислорода (OXygen)

этаноламин
) Простейший стабильный аминоспирт, является первичным амином и первичным спиртом ) Вязкая маслянистая жидкость, имеет слабый аминный запах. Смешивается с водой во всех отношениях. Хорошо растворим в этаноле, бензоле, хлороформе. ) Он всегда присутствует в незначительном количестве в организме животных, где образуется при декарбоксилировании серина. Дальнейшие пути превращений связаны либо с синтезом одного из фосфатидов — кефалина, либо с превращением в холин ) Его растворы широко используются в качестве абсорбента в различных процессах газоочистки
Mnemonic rule

диэтаноламин
) Представитель класса аминоспиртов, густая маслянистая жидкость ) Применяется в технике в качестве эмульгатора и поверхностно-активного вещества, а также в различных процессах газоочистки *) Является исходным веществом в промышленном синтезе лекарства таурина
Mnemonic rule

триэтаноламин
*) Бесцветная жидкость
*) Абсорбент кислых газов, ингибитор коррозии, входит в состав мягчителей для каучука, охлаждающих жидкостей, является распространенным отвердителем эпоксидных смол
Mnemonic rule

этиленгликоль
) Двухатомный спирт, простейший представитель полиолов (многоатомных спиртов) ) Прозрачная бесцветная жидкость слегка маслянистой консистенции, не имеет запаха и обладает сладковатым вкусом ) Токсичен. Попадание этиленгликоля или его растворов в организм человека может привести к необратимым изменениям в организме и к летальному исходу ) Используется как компонент автомобильных антифризов и тормозных жидкостей *) Используется в производстве целлофана, полиуретанов и ряда других полимеров
Mnemonic rule

альдегиды
) Вещества вида R-CHO, в которых карбонильная группа связана с одним атомом водорода и одной группой R
) Названия простых альдегидов образуются от названий соответствующих алканов с добавлением суффикса -аль, а диальдегидов — суффикса -диаль
) Номер при альдегидной группе не ставят, поскольку она всегда занимает крайнее положение (иначе это уже будет кетон)
) Если в данном соединении альдегидная группа не является старшей, то в таких случаях её обозначают используя приставку формил-, указывая её положение (например: 4-формил-бензойная кислота)
*) Альдегидная группа содержится во многих природных веществах, таких, как углеводы (альдозы), некоторые витамины (ретиналь, пиридоксаль). Их следы содержатся в эфирных маслах и часто способствуют их приятному запаху, например, коричный альдегид и ванилин.
Mnemonic rule

формальдегид
) Бесцветный газ с резким неприятным запахом ) Хорошо растворим в воде, спиртах и полярных растворителях ) Ирритант, контаминант, канцерогенен. В больших концентрациях ядовит. ) Первый член гомологического ряда алифатических альдегидов ) Основная часть формальдегида используется для производства смол, которые далее идут на производство ДСП, фанеры и мебели ) Используется в качестве консерванта в составе косметических средств *) Повсеместно присутствует в атмосфере, где появляется из-за сгорания и разложения органических веществ. Одновременно он постоянно подвергается разложению до углекислого газа под действием солнечного света и оксидов азота, а также вымывается из воздуха дождём и затем перерабатывается бактериями
Mnemonic rule

кетоны
) Органические вещества, в молекулах которых карбонильная группа связана с двумя углеводородными радикалами
) Названия алифатических и алициклических кетонов образуют, прибавляя суффикс -он или -дион (для дикетонов) к названию родоначального углеводорода. Дикетоны ароматического ряда с кетонными группами в ядре называют сокращённым названием углеводорода, добавляя суффикс -хинон
*) Кетоны — летучие жидкости или легкоплавкие твёрдые вещества
Mnemonic rule

ацильная группа
*) R1 - радикал карбоновой кислоты. Понятно, что ацетильная группа - простейший вариант ацильной группы.
Mnemonic rule

ацетон
) Простейший представитель насыщенных кетонов
) Благодаря низкой токсичности получил широкое применение в производстве лаков, взрывчатых веществ, лекарственных средств, является исходным сырьем в многочисленных химических синтезах
*) Является одним из продуктов метаболизма в живых организмах
Mnemonic rule
ацетильная группа + он, углерод

мочевина
) Образует комплексы — включения (клатраты) со многими соединениями
) Является конечным продуктом метаболизма белка у млекопитающих и некоторых рыб
) Является крупнотоннажным продуктом, используемым, в основном, как азотное удобрение
) Производные мочевины — эффективные гербициды
Mnemonic rule

селеномочевина
) Образует серо-розовые кристаллы ) При хранении медленно разлагается с выделением селена, растворяется в воде, этаноле, диэтиловом эфире *) Используется как реагент для фотометрического определения висмута, осмия, плутония
Mnemonic rule

тиомочевина
) Применяют в органическом синтезе, для получения лекарств (напр. сульфапиридина) ) Заряд перераспределяется так, что электрон с серы может переходить к одной из аминогрупп, поэтому здесь атом серы является сильным нуклеофильным центром, и тиомочевина протонируется по атому серы с образованием солей с сильными кислотами *) Ацилирование тиомочевины может протекать как по сере, так и по азоту
Mnemonic rule

пропан
) Органическое вещество класса алканов. Содержится в природном газе, образуется при крекинге нефтепродуктов, при разделении попутного нефтяного газа, «жирного» природного газа как побочная продукция при различных химических реакциях. ) Чистый пропан не имеет запаха, однако в технический газ могут добавляться компоненты, обладающие сигнальным запахом. Как представитель углеводородных газов пожаро- и взрывоопасен. *) Малотоксичен, но оказывает вредное воздействие на центральную нервную систему (отравление, рвота, возможен летальный исход)
Mnemonic rule

пропанол–1
) Бесцветная жидкость со спиртовым запахом ) Встречается в природе в небольших количествах как продукт ферментации. К примеру, он является компонентом сивушного масла. ) Существует изомер 1-пропанола — изопропиловый спирт (пропан-2-ол, 2-пропанол) ) Применяют как растворитель для восков, полиамидных чернил, природных и синтетических смол, как обезжириватель металлов, в производстве полиэтилена низкого давления, для синтеза пропионовой кислоты, пропионового альдегида, пропилацетата, пропиламина, ПАВ, пестицидов, некоторых лекарств
Mnemonic rule

изопропанол
) Прозрачная, бесцветная жидкость с резким характерным запахом и мягким горьким вкусом, типичным для спиртов с короткой углеводородной цепью ) Хорошо растворяет многие эфирные масла, алкалоиды, некоторые синтетические смолы и другие химические соединения. Растворяет некоторые виды пластмасс и резины. ) Широко используется в товарах личной гигиены и в медицине благодаря своей относительно низкой токсичности ) 75%-й водный раствор изопропанола используется как дезинфицирующее средство для рук. Вода способствует проникновению сквозь клеточные мембраны бактерий, таким образом обеспечивая более высокую эффективность и лучшее обеззараживание.
Mnemonic rule

бутан
) Углеводород класса алканов ) Содержится в природном газе, образуется при крекинге нефтепродуктов, при разделении попутного нефтяного газа, «жирного» природного газа ) При нормальном давлении легко сжижаем при 0 °C ) Вдыхание бутана вызывает дисфункцию лёгочно-дыхательного аппарата. Пожаро- и взрывоопасен, малотоксичен, имеет специфический характерный запах, обладает наркотическими свойствами. *) Применяется как сырьё для получения бутилена, 1,3-бутадиена, как компонент бензинов с высоким октановым числом. Бутан высокой чистоты и особенно изобутан может быть использован в качестве хладагента в холодильных установках. Производительность таких систем немного ниже, чем фреоновых, но бутан безопасен для окружающей среды.
Mnemonic rule

бутил
) Одновалентный радикал бутана. Часто встречается в качестве заместителя в органических веществах. ) Альтернативные названия: нормальный бутил, или н-бутил
Mnemonic rule

аммиак
) При нормальных условиях — бесцветный газ с резким характерным запахом
) Плотность аммиака почти вдвое меньше, чем у воздуха
) Растворимость в воде чрезвычайно велика — около 1200 объёмов (при 0 °C) в одном объёме воды
) Четвёртая пара внешних электронов является неподелённой, она может образовать ковалентную связь по донорно-акцепторному механизму с ионом водорода, образуя ион аммония NH4+
*) Жидкий аммиак — хороший растворитель для очень большого числа органических, а также для многих неорганических соединений. Твёрдый аммиак — кубические кристаллы.
Mnemonic rule

аммоний
) Является правильным тетраэдром с азотом в центре и атомами водорода в вершинах тетраэдра. Размер иона — 1,43 Å
) Прочность солей аммония сильно различается. Чем сильнее кислота, тем более устойчива соль аммония
*) Восстановительные свойства аммония используются во взрывчатых веществах, например аммоналах
Mnemonic rule

амины
) Амины — органические соединения, являющиеся производными аммиака, в молекуле которого несколько атомов водорода замещены на углеводородные радикалы. Выделяют также четвертичные аммониевые соединения. ) По характеру органической группы, связанной с азотом, различают алифатические (т.е. нециклические), ароматические и жирно-ароматические (содержат ароматический и алифатический радикалы) амины. Ароматические амины называют анилинами. ) По числу NH2-групп в молекуле амины делят на моноамины, диамины, триамины либо полиамины ) Низшие амины — метиламин, диметиламин, триметиламин и этиламин — при комнатной температуре являются газами. Высшие амины до 12 атомов углерода являются жидкостями. Амины с более длинными заместителями являются твёрдыми веществами. *) Амины имеют характерный рыбный запах
Mnemonic rule
.png?t=1597733656)
ацетальдегид (этаналь)
) Альдегид этанола и уксусной кислоты ) Один из наиболее важных альдегидов, широко встречающийся в природе и производится в больших количествах индустриально. Встречается в кофе, в спелых фруктах, хлебе, и синтезируется растениями как результат их метаболизма. ) Бесцветная ядовитая жидкость при стандартных условиях (0°C), или бесцветный газ с резким запахом, похожим на запах прелых яблок при комнатной температуре (25°C) ) В печени есть фермент алкогольдегидрогеназа, который окисляет этанол в ацетальдегид, который затем окисляется в безопасную уксусную кислоту посредством ацетальдегиддегидрогеназы
Mnemonic rule

изопрен
) Ненасыщенный углеводород, принадлежащий к диеновому ряду
) Является мономером натурального каучука, при полимеризации образует изопреновые каучуки и гуттаперчи. Остаток его молекулы входит во множество других природных соединений — изопреноидов, терпеноидов и т.д.
*) Основное применение в промышленности — синтез изопреновых каучуков, некоторых медицинских препаратов, душистых веществ
Mnemonic rule

хлоропрен
) Сырье для получения хлорпреновых каучуков. Его полимер известен под названием неопрен ) Оказывает раздражающее действие на слизистые оболочки глаз и верхних дыхательных путей, обладает наркотическими и токсическими свойствами, вызывает кожные заболевания и трофические нарушения; характерно выпадение волос.
Mnemonic rule
.png?t=1595840029)
эпоксиды (оксираны)
) Насыщенные трёхчленные гетероциклы, содержащие в цикле один кислородный атом
) Вследствие напряжённости трёхчленного цикла обладают высокой реакционной способностью в реакциях раскрытия цикла
) Низшие эпоксиды - жидкости с эфирным запахом, хорошо растворимые в органических растворителях
) Эпоксиды образуются в организме человека в результате эпоксидирования - биотрансформации чужеродных соединений — ксенобиотиков ( напр. бензола, ароматических и полиароматических соединений). Эпоксиды обладают высокой реакционной способностью и легко алкилируют нуклеофильные центры нуклеиновых кислот, что ведет к мутациям
Mnemonic rule

циклопентан
) Бесцветная жидкость с характерным запахом керосина ) Углеродные атомы не располагаются в одной плоскости, а образуют конформацию «конверт» ) Применяется в качестве вспенивателя пенополиуретана, в холодильном оборудовании в качестве заменителя фреонов. Как растворитель простых эфиров целлюлозы. ) Малотоксичен, очень горюч, образует взрывоопасные смеси с воздухом. Обладает наркотическим действием.
Mnemonic rule

циклопентанон
*) Циклический кетон, состоящий из четырёх метиленовых групп и карбонильной группы
*) Бесцветная жидкость с характерным запахом
*) В основном используется в качестве ароматизатора. Также он является прекурсором для синтеза различных органических соединений (например, жасмона, мизопростола)
*) Раздражающе действует на кожу и органы дыхания, а смесь его паров с воздухом взрывоопасна. В больших концентрациях обладает наркотическим действием.
Mnemonic rule

циклогептан
) Летучая прозрачная жидкость с желтоватым цветом, не растворимо в воде, растворяется в этаноле ) Другое его название - суберан, т.к. его можно получить из субериновой кислоты *) Используется как неполярный растворитель в химической индустрии, в промежуточном производстве химикатов, а также фармакологических препаратов
Mnemonic rule

циклогептанон
) Бесцветная жидкость с запахом мяты, представитель класса циклических кетонов ) Может использоваться для синтеза других соединений циклогептанового ряда
Mnemonic rule

циклооктан
) Бесцветная подвижная жидкость с запахом камфоры ) Окисляется азотной или хромовой кислотой до пробковой (субериновой) кислоты *) Для него наиболее устойчивой конформацией из 11 возможных являются три: «корона» (chair-chair), «ванна» (boat-boat) и «кресло» (chair-boat). Из них «корона» — наиболее вероятная.
Mnemonic rule

циклооктатетраен
) Золотисто-желтая горючая жидкость ) Имеет замкнутую чередующуюся систему двойных и одинарных связей, но, в отличие от бензола, не является ароматическим
Mnemonic rule

циклогексан
) Органическое соединение из класса циклоалканов ) Используется как сырье для получения капролактама, адипиновой кислоты и циклогексанона; как растворитель эфирных масел, восков, лаков, красок; как экстрагент в фармацевтической промышленности *) Циклогексан токсичен; и люди могут оказаться неспособны по запаху выявить его присутствие в воздухе при опасной концентрации
Mnemonic rule

циклогексанон
) Бесцветная маслянистая жидкость с запахом ацетона и мяты ) Типичный представитель кетонов, который при взаимодействии с кислородом или азотной кислотой окисляется до адипиновой кислоты и низших моно- и дикарбоновых кислот *) Используется также в качестве растворителя нитратов и ацетатов целлюлозы, жиров, восков, природных смол, поливинилхлорида
Mnemonic rule
.png?t=1596301120)
гексахлоран
) Гексахлоран — смесь восьми стереоизомеров 1,2,3,4,5,6-гексахлорциклогексана ) Препарат, содержащий 99—100 % γ-изомера, называется «линдан» ) Эффективный инсектицид комплексного действия, широко применяется в сельском хозяйстве для борьбы с паразитами животных, для протравливания семян, а также для борьбы с вредителями овощных, плодовых и технических культур ) Он и и его изомеры рассматриваются, как чрезвычайно опасные вещества, приносящие вред экологии и здоровью человека, и поэтому либо запрещены в производстве и применении
Mnemonic rule

бензол
*) Простейший ароматический углеводород, бесцветная жидкость со специфическим сладковатым запахом, токсичен, канцерогенен.
Mnemonic rule
.png?t=1594378690)
толуол (метилбензол)
*) Бесцветная подвижная летучая жидкость с характерным запахом, проявляет слабое наркотическое действие, галлюциноген. Его пары могут проникать через неповрежденную кожу и органы дыхания, вызывать тяжелые поражение нервной системы
*) Для него характерны реакции электрофильного замещения в ароматическом кольце и замещения в метильной группе. Электрофильное замещение в ароматическом кольце идёт преимущественно в орто– и пара–положениях относительно метильной группы
*) Используют как сырьё для производства бензола, бензойной кислоты, нитротолуолов, бензилхлорида и других органических веществ
Mnemonic rule
ТОЛько метил приделали к бензолу – и один шаг до тротила
.png?t=1594378696)
тринитротолуол (тол, тротил)
*) Одно из наиболее распространённых бризантных взрывчатых веществ. Желтоватое кристаллическое вещество.
*) Он стал основным взрывчатым веществом для снаряжения боеприпасов благодаря удачному сочетанию достаточной мощности с низкой чувствительностью, возможностью переработки литьём – он менее чувствителен к трению и нагреванию, чем многие другие взрывчатые вещества, например динамит, и загорается только при температуре 290°C, поэтому может быть относительно безопасно нагрет до температуры плавления. Сейчас его стараются заменить на более экономичные и более безопасные малочувствительные взрывчатые вещества. Например, в США его заменяют на IMX–101.
*) Обладает свойствами антимикотика, ранее применялся в медицине в составе противогрибковых препаратов
Mnemonic rule

фенол
) Токсичен, сильный ирритант
) Обладает специфическим запахом (таким, как запах гуаши, так как в состав гуаши входит фенол)
) 5% раствор в воде — антисептик, широко применявшийся в медицине в прошлом
) Из-за наличия ароматического кольца и гидроксильной группы фенол проявляет химические свойства, характерные как для спиртов, так и для ароматических углеводородов
Mnemonic rule

стирол
*) Иначе – винилбензол
*) Бесцветная ядовитая жидкость со специфическим запахом. Яд общетоксического действия. Обладает раздражающим, мутагенным и канцерогенным эффектом.
*) Хороший растворитель полимеров
*) Легко полимеризуется, образуя твёрдую стекловидную массу — полистирол, а также легко сопополимеризуется с различными мономерами. Стружка из полистирола, растворённая в стироле, образует идеальный клей для полистирола.
*) Применяется в основном для синтеза полистирола и бутадиен–стирольного каучука, используемого в производстве шин. Благодаря своей радиационной стойкости, бутадиен–стирольные каучуки применяются в производстве резин, устойчивых к гамма–излучению.
*) Входит в состав напалма
Mnemonic rule
струя огнемета, стреляющего напалмом
СТИРаЛьная машинка со шлангом

хлорбензол
) Бесцветная малотоксичная горючая жидкость с характерным запахом ) Является важным органическим растворителем, кроме того он применяется в органическом синтезе, например в синтезе пестицидов, также применяется в производстве фенола
Mnemonic rule

бензойная кислота
) Простейшая одноосновная карбоновая кислота ароматического ряда
) Бензойную кислоту и её соли используют при консервировании пищевых продуктов. Губительное действие на микрофлору начинается с абсорбции бензойной кислоты липидной стенкой клетки
) Бензойную кислоту применяют в медицине при кожных заболеваниях, как наружное антисептическое (противомикробное) и фунгицидное (противогрибковое) средства, при трихофитиях и микозах, а её натриевую соль, — бензоат натрия — как отхаркивающее средство.
) В свободном виде и виде сложных эфиров встречается в составе многих растений и животных. Значительное количество бензойной кислоты находится в ягодах (до 0,2% - в бруснике)
Mnemonic rule
 кислота.png?t=1596304801)
надбензойная (пероксибензойная) кислота
) Простейшая ароматическая надкислота ) Может быть получена действием пероксида водорода на бензойную кислоту и другими способами *) Используется для синтеза сложных эфиров из кетонов
Mnemonic rule

нитробензол
) Особо токсичное органическое вещество, имеющее миндальный запах ) Исходное сырьё в производстве анилина, ароматических азотсодержащих соединений (бензидин, хинолин, азобензол). В основном используется как прекурсор для производства анилина. *) Производные нитробензола используются в качестве взрывчатых веществ и как компоненты ракетных топлив. В парфюмерии — в качестве душистых или фиксирующих запах веществ, в том числе — искусственных мускусов.
Mnemonic rule

бензойный альдегид
) Простейший альдегид ароматического ряда ) Бесцветная жидкость с характерным запахом горького миндаля или яблочных косточек *) При хранении и окислении кислородом воздуха превращается в перекись бензоила (взрывоопасна), а затем - в бензойную кислоту
Mnemonic rule

ацетофенон
*) Жирноароматический кетон. Обладает всеми химическими свойствами, характерными и для кетонов, и для ароматических соединений
*) Бесцветная маслянистая жидкость, обладающая сильным запахом черёмухи
*) Ацетофенон и некоторые его производные используются как душистые вещества в парфюмерии
*) Ацетофенон обладает снотворным действием. Его производное — хлорацетофенон — является слезоточивым веществом
*) Содержится в яблоках, абрикосах, бананах и цветной капусте в незначительных количествах, не представляющих вреда
Mnemonic rule

бензиловый спирт
) Простейший ароматический спирт, бесцветная жидкость со слабым приятным запахом ) В свободном состоянии или в виде сложных эфиров бензойной, салициловой и уксусной кислот он содержится в эфирных маслах, например жасминном, гвоздичном, перуанском бальзаме и др. *) Применяют в парфюмерии, а также как растворитель лаков и для обеззараживания масляных растворов препаратов для внутримышечного введения
Mnemonic rule
вертолетик - работает на бензине и спирте

бисфенол А
*) В промышленности получают методом конденсации фенола с ацетоном
*) Может вызывать раздражение слизистых оболочек глаз, верхних дыхательных путей, при попадании на кожу и длительном воздействии — дерматиты, онкологические заболевания, сахарный диабет, ожирение
*) Увы, но он используется в течение 50 лет в качестве отвердителя в изготовлении пластмассы, в том числе и для упаковок пищевых продуктов... Эпоксидные смолы, содержащие его, используются в качестве покрытия на внутренней стороне почти всех банок для напитков и продуктов питания.
Mnemonic rule
фенол + фенол = ... А, бисфенол!
.png?t=1596301345)
бензилпиперазин
*) Иначе – 1–бензилпиперазин, N–бензилпиперазин, BZP
*) Обладает психостимулирующим действием, аналогичным действию амфетамина, но слабее выраженным. Нередко является компонентом таблеток, продающихся под видом «Экстази».
*) Как и амфетамин, бензилпиперазин действует на дофаминовые транспортёры, вызывая выброс дофамина из цитоплазмы в синаптическую щель. В больших дозах бензилпиперазин также приводит к выбросу серотонина, однако этот эффект выражен слабо.
Mnemonic rule

дифениламин
) Исходный продукт в производстве антиоксидантов для полимеров ) Стабилизатор и флегматизатор термо- и атмосферостойкости нитратов целлюлозы, в том числе пироксилиновых порохов ) Промежуточный продукт в синтезе триарилметановых и азо-красителей, инсектицидов ) Ингибитор коррозии мягких сталей
Mnemonic rule
 кислота.png?t=1591636866)
салициловая (фенольная) кислота
) В природе встречается в растениях в виде производных — главным образом в виде гликозида метилового эфира; свободная салициловая кислота наряду с салициловым альдегидом в небольших количествах содержится в эфирном масле, выделяемых из цветов некоторых видов спиреи. Салициловая кислота — активный компонент ивовой коры. ) Салициловая кислота и салицилаты, а также её сложные эфиры (метилсалицилат) и другие синтетические производные салициловой кислоты (например, ацетилсалициловая кислота — аспирин), обладают выраженным противовоспалительным и слабым антисептическим действием. Применяется наружно в мазях и растворах при лечении кожных заболеваний. Её амид (салициламид) и ацетилсалициловую кислоту (аспирин) используют как жаропонижающие, противоревматические, противовоспалительные и болеутоляющие средства. ) Является фитогормоном и вызывает повышение температуры в отдельных органах термогенных растений (напр. у Ароидных). Это происходит по причине разрыва транспорта электронов в митохондриальной дыхательной цепи ) Благодаря антисептическому действию её используют при консервировании пищевых продуктов *) В организме человека метаболизируется, образуя конъюгаты с глюкуроновой кислотой и глицином, либо путём гидроксилирования, выводятся с мочой
Mnemonic rule
Карбоново-кислый фенол Бензойная кислота, осаленная гидроксилом

салициламид
) Лекарство, анальгетик и антипиретик из группы производных салициловой кислоты. Его медицинское применение аналогично аспирину, т.е. используется в основном как болеутоляющее и жаропонижающее ) По сравнению с аспирином более стоек: ацетилсалициловая кислота в организме легко подвергается гидролизу с освобождением салициловой кислоты, салициламид же трудно подвергается гидролизу и в значительных количествах выводится из организма в неизменённом виде. В ряде случаев салициламид лучше переносится, чем другие салицилаты: реже вызывает диспепсические явления
Mnemonic rule

фавипиравир
*) Противовирусный препарат с широким спектром активности против РНК–содержащих вирусов, включая вирусы гриппа, риновирус, респираторно–синцитиальный вирус и др. Использовался против вирусов лихорадок Эбола и Ласса, бешенства и тяжелой лихорадки с синдромом тромбоцитопении.
*) Не работает против ДНК–содержащих вирусов, в числе которых аденовирус, вирус простого герпеса первого типа и цитомегаловирус.
*) Принцип действия основан на ингибировании вирусной РНК–зависимой РНК–полимеразы путём терминирования удлинения формирующейся цепи РНК
*) Фавипиравир изучается как потенциальное средство для лечения ряда других вирусных инфекций, в т.ч. коронавируса COVID–19
Mnemonic rule
любимая (favourite) пиротехника для взрыва вирусов
.png?t=1595841068)
ацетилсалициловая кислота (аспирин)
) Аспирин - лекарство, оказывающее анальгезирующее (обезболивающее), жаропонижающее, противовоспалительное действие ) Аспирин является эффективным обезболивающим средством при острой боли, но не имеет доказанных преимуществ перед парацетамолом и уступает ему в безопасности, т.е. аспирин может вызывать желудочно-кишечные кровотечения. Комбинация аспирина с кофеином даёт немного большее уменьшение боли, чем употребление чистого аспирина. *) Считается, что аспирин снижает общий риск возникновения колоректального рака, рака эндометрия, молочной железы и предстательной железы
Mnemonic rule
.png?t=1591645454)
анилин (аминобензол)
) Родоначальник класса ароматических аминов ) Бесцветная маслянистая жидкость с характерным запахом, немного плотнее воды и плохо в ней растворима, хорошо растворяется в органических растворителях ) Очень токсичен ) Характерны реакции как по аминогруппе, так и по ароматическому кольцу
Mnemonic rule
а бензин в ниле плавает

N,N–диметиланилин
) Принадлежит классу третичных аминов
) Применяется в производстве полиэфирных смол и в органическом синтезе, особенно в синтезе красителей (малахитового зелёного, метиленового синего и т.д.). Также используется для производства тетрила (взрывчатое вещество)
Mnemonic rule

ацетанилид
) Анилид уксусной кислоты ) Ацетанилид был первым производным анилина, у которого обнаружили болеутоляющие и жаропонижающие свойства. Впоследствии он был быстро введен в медицинскую практику под названием антифебрин Каном и Хеппа в 1886 г.
Mnemonic rule
ацетанилиД, а не ацетанилин это называется потому, что если аминогруппа прикреплена вместо гидроксигруппы в остатке карбоновой кислоты, то это амиД, а не амин

парацетамол
*) Параацетиламинофенол
*) Ненаркотический анальгетик, обладает слабыми противовоспалительными свойствами
*) При приёме больших доз может вызывать нарушения работы печени, кровеносной системы и почек, особенно в сочетании с алкоголем
*) В отличие от ибупрофена, аспирина и других НПВП, парацетамол воздействует на нервную систему
Mnemonic rule
.png?t=1597733968)
пара–аминобензойная кислота
*) ПАБК. Иначе – 4–аминобензойная кислота, или бактериальный витамин H1, или витамин B10, широко распространена в природе
*) В природе она синтезируется шикиматным путём. Промежуточными соединениями являются шикимат, хоризмат, 4–амино–4–дезоксихоризмат. Способностью к её синтезу обладают многие микроорганизмы, растения, грибы.
*) Является предшественником в биосинтезе важных кофакторов — тетрагидрофолата и тетрагидрометаноптерина. Являясь составной частью тетрагидрофолата, остаток пара–аминобензойной кислоты участвует в синтезе пуринов и пиримидинов и, следовательно, РНК и ДНК.
*) Является «фактором роста» для многих видов бактерий, например, лакто– и бифидобактерий, кишечной палочки
*) Участвует в синтезе витамина B9, и, как следствие, образовании эритроцитов (эритропоэзе)
*) Обладает лактогонным свойством (усиливает выделение молока у кормящей женщины)
*) Способствует установлению загара.
*) Сульфаниламиды способны подавлять рост микроорганизмов, так как они являются структурными аналогами ПАБК и конкурентно связываются с ферментами её метаболизма
Mnemonic rule

азобензол
) простейшее ароматическое азосоединение
) Является жёлтым красителем
*) Имеет два изомера: цис- и транс-форму
Mnemonic rule

пирокатехин
*) Один из трёх возможных изомеров дигидроксибензола, два других — гидрохинон и резорцин
*) Применяют в производстве красителей, лекарств (например, адреналина)
*) Как сам пирокатехин, так и его производные были найдены в различных растениях, как правило, в древесине и смолах
*) Является аллергеном, а также имеет мутагенные и канцерогенные свойства
Mnemonic rule
выпучил глазки и к ПИРОгу КАТится

гваякол
) Имеет сильный своеобразный «дымный» запах, служит искусственным ароматизатором пищевых продуктов в качестве «аромата бекона»
) Содержится в продуктах сухой перегонки древесины лиственных и хвойных пород
*) Вызывает анестезию кожи, экзему, раздражает глаза и дыхательные пути. В организме человека накапливается и приводит к нарушению обмена веществ
Mnemonic rule
ГАВ! Я КОЛбасу нашел

резорцин
*) Взаимное влияние двух групп ОН обеспечивает легкость вступления резорцина в реакции электрофильного замещения
*) Легко вступает в реакции азосочетания, например с диазотированной сульфаниловой кислотой дает краситель резорциновый жёлтый
*) С фталевым ангидридом в присутствии хлорида цинка конденсируется с образованием флуоресцеина
*) Применяется в производстве синтетических красителей, некоторых полимеров, в медицине как обеззараживающее средство при лечении кожных заболеваний, из–за дубящих свойств
*) Пыль и пары резорцина раздражают кожу и слизистые оболочки глаз и дыхательных путей, вызывают кашель
Mnemonic rule
тРЕЗОР с растопыренными ушами

гидрохинон
) Представитель двухатомных фенолов, изомер пирокатехина и резорцина
) Сильный восстановитель, используется как антиоксидант в химической промышленности
) Образует клатраты
) Является сильным восстановителем. Процесс взаимодействия с окислителями происходит в два этапа — на первом гидрохинон превращается в хингидрон, на втором — в 4-бензохинон
Mnemonic rule
.png?t=1593414256)
хинон (пара–бензохинон)
) Золотисто-жёлтые кристаллы с резким запахом ) Один из двух известных изомеров бензохинона ) Применяется в производстве гидрохинона, красителей и как дубящее вещество - задубливает коллаген и желатин, образуя поперечную сшивку между белковыми структурами ) Молекула 1,4-бензохинона обладает рядом признаков ароматических соединений: имеет плоское строение, все атомы углерода и кислорода имеют sp2-гибридизацию. Шесть пи-электронов плоского цикла распределены в сопряжённой системе шести атомов углерода, но длины одиночной связи в кольце (0,149 нм) и двойной (0,132 нм) сильно отличаются и друг от друга, и от длины ароматической связи в бензоле (0,140 нм), что даёт основания рассматривать это соединение не как ароматическое, а как циклический α,β-ненасыщенный дикетон *) При попадании в организм вызывает превращение гемоглобина в метгемоглобин, что приводит к анемии. При наружном взаимодействии вызывает раздражение кожи
Mnemonic rule

орто–бензохинон
*) 1,2–хинон
*) Хотя 1,4–хинон имеет жёлтую окраску, 1,2–бензохинон окрашен в ярко–красный цвет за счёт более длинной цепи сопряжения
Mnemonic rule

хингидрон
*) В процессе восстановления хинона до гидрохинона образуется темно-зелёный промежуточный их комплекс — хингидрон, в котором образуется водородная и донорно-акцепторная связь
Mnemonic rule

флороглюцин
*) Трёхатомный фенол
*) В природе входит в состав флавонов и катехинов в виде гликозидов. В частности, находится в составе флавоновых и антоциановых пигментов, придающих окраску цветам. Название вещества обусловлено именно его распространённостью в растениях (флоро–) и сладким вкусом (–глюцин).
*) Используется в фотоэмульсиях, как вулканизирующий реагент для каучуков, в синтезе лекарств
Mnemonic rule
.png?t=1596986646)
пикриновая кислота (2,4,6–тринитрофенол)
) Пикриновую кислоту и её соли, пикраты, используют как взрывчатые вещества, а также в аналитической химии для определения калия, натрия ) Чистый тринитрофенол — твёрдое вещество в виде пластинчатых кристаллов, цвет от бесцветного до жёлтого
Mnemonic rule
на ПИКе молекулы гидроксил-взрыватель

2,4–динитрофенол
) Иначе - ДНФ ) Высокотоксичен. С другой стороны, лабораторные мыши или крысы, которые всю жизнь получали небольшие дозы ДНФ, имеют большую продолжительность жизни. ) В живых клетках ДНФ работает как протонный ионофор, который может переносить протоны через мембраны. Он снижает протонный градиент на мембранах митохондрий и хлоропластов, уменьшая протон-движущую силу, которую клетка могла бы использовать для синтеза АТФ. Энергия протонного градиента, необходимая для синтеза АТФ, выделяется в виде тепла. ) ДНФ часто используется в биохимических исследованиях для изучения биоэнергетики, в том числе для изучения хемиосмотических и других мембранных транспортных процессов ) Используется в препаратах для лечения ожирения, т.к. значительно увеличивает скорость обмена веществ ) Используется в качестве антисептика и в качестве неселективного биоаккумулятора пестицидов *) Является прекурсором в производстве сернистых красителей, антисептиков для древесины и некоторых гербицидов
Mnemonic rule

протокатеховая кислота
*) Один из простейших представителей полифенолов
*) Обладает антиоксидантными свойствами
*) Имеет значительное распространение в природе – в свободном виде и в виде производных. В частности, свободная протокатеховая кислота обнаружена в масле асаи, в составе коры босвеллии, в розелле, в шампиньонах, в кожуре лука, в лесной подстилке и др. Склеротизация покровов насекомых и некоторых других членистоногих обусловлена фенольным дублением белков. В этом процессе участвуют двухатомные фенолы катехольного типа, среди которых у некоторых видов найдена протокатеховая кислот. Протокатеховая кислота обнаруживается среди продуктов щелочного плавления многочисленных природных веществ (различных смол и др.).
Mnemonic rule

галловая кислота
*) 3,4,5–тригидроксибензойная кислота — органическая кислота, в природе встречающаяся в чае, дубовой коре, тунбергии, дубильных экстрактах. Сложные эфиры галловой кислоты содержатся в дубильных веществах и танине, которые находятся в чернильных орешках, листьях чая и сумаха, в дубовой коре, гвоздике, в почках берёзы Betula pendula Roth, коре корней гранатника
*) Применяется для синтеза красителей (антрагаллола, галлофлавина и др.) и лекарств
*) Применяется для синтеза пирогаллола
*) Сложные эфиры галловой кислоты являются антиоксидантами
Mnemonic rule
на бензойной кислоте растопырились галлы–гидроксилы

шикимовая кислота
) Шикимовая кислота по анионной форме известна как шикимат ) Является интермедиатом в метаболическом пути, получившем название шикиматный путь, благодаря чему является предшественником синтеза таких важнейших соединений, как фенилаланин, тирозин, триптофан, пара-аминобензоат, убихинон *) Присутствуя у большинства микроорганизмов, растений и грибов, она является лишь промежуточным метаболитом биосинтетических реакций, поэтому она, не накапливаясь, расходуется на последующие реакции и обнаруживается обычно в очень низких концентрациях. В значительных количествах шикимовая кислота обнаружена только в анисовом бадьяне и родственных растениях.
Mnemonic rule
галлы ШИКанули и потеряли ароматичность

пирогаллол
*) Раствор пирогаллола и щёлочи количественно и быстро поглощает кислород, что используется в аналитической химии для газового анализа для определения кислорода
*) Будучи сильным восстановителем, активно восстанавливает соли серебра и золота
*) Применяется для синтеза красителей, использующихся для окраски меха и волос, а также как средство для ухода за кожей
Mnemonic rule

меллитовая кислота
) Шестиосновная кислота ароматического ряда
) В природе находится в медовом камне, который встречается в бурых углях и представляет собой алюминиевую соль меллитовой кислоты
) Может быть получена окислением (например, азотной кислотой) древесного и каменного углей, сажи или графита
) Очень стабильна: она не изменяется при нагревании до 200 °C, серная и азотная кислоты, также хлор, бром и иодоводород на неё не действуют
Mnemonic rule
на МЕЛЬнице делают ароматный хлеб (ароматичный бензол в середине)

кумол
*) Бесцветная горючая жидкость с острым характерным ароматическим запахом. Смеси паров кумола с воздухом взрывоопасны.
*) По химическим свойствам похож на толуол: вступает в реакции замещения атомов водорода в бензольном кольце и в боковой цепи
*) Применяется в качестве добавки к моторным топливам для повышения октанового числа, в органическом синтезе для получения ацетона и фенола и в качестве растворителя
*) При попадании на кожу, в глаза и на слизистые вызывает раздражение. Пары раздражают дыхательные пути. Токсично воздействует на печень. Возможный канцероген. Вдыхание воздуха с высокой концентрацией паров кумола вызывает наркотический эффект, головную боль, головокружение и ухудшение самочувствия
Mnemonic rule
кумочек на ножках

цимол
*) Содержится в скипидаре и ряде эфирных масел (в тминном, кориандровом, анисовом, эвкалиптовом и др.)
*) Ограниченно применяется при составлении парфюмерных композиций и пищевых эссенций
Mnemonic rule
идёт на ЦЫпочках и МОЛчит – никаких лишних боковых групп

карвакрол
*) Присутствует в эфирном масле орегано (душицы), тимьяна, монарды и дикого бергамота. Вырабатывается этими растениями как репеллент, обладает бактерицидными и инсектицидными свойствами
*) Карвакрол замедляет рост некоторых бактерий, таких как Escherichia coli или Bacillus cereus. Низкая токсичность, приятный запах и вкус позволяют использовать его как противобактериальное средство
Mnemonic rule
ворона каркнула и хвост кролика–тимола поднялся

тимол
*) Гидроксипроизводное цимола, изомерен карвакролу
*) Бесцветные кристаллы со специфическим запахом и жгучим вкусом
*) Содержится в некоторых эфирных маслах, например тимьяновом (чабрец)
*) Применяется как сырьё в производстве ментола и некоторых индикаторов, как противоглистное при лечении гельминтозов, как антисептическое средство для дезинфекции полости рта, зева, носоглотки
Mnemonic rule
собрана команда (team) ароматических связей ментола

ментон
) Бесцветная вязкая жидкость с запахом мяты и горьким вкусом ) Содержится в эфирном масле перечной мяты, герани и бука *) Применяется для ароматизации средств ухода за зубами; как сырьё для получения ментола
Mnemonic rule

туйон
*) Кетон, относящийся к классу производных терпенов
*) Бесцветное вещество с характерным запахом, напоминающим ментол
*) Токсичен для человека
*) Весьма реакционноспособен, легко окисляется на воздухе
*) Найден в туе, кипарисе, можжевельнике, пижме, шалфее, тысячелистнике, эвернии сливовой и горькой полыни
*) Является одним из двух важнейших действующих компонентов абсента наряду с этиловым спиртом
*) Является слабым агонистом каннабиноидных рецепторов, подобно терпеноидам конопли
*) Противодействует тормозному эффекту ГАМК, нейромедиатора ЦНС, блокируя её рецепторы типа А
Mnemonic rule
мент поднял жезл и взялся за хуй, когда дошел до зарослей туй

ментол
) Получают синтетически или выделяют из мятного эфирного масла
) Обладает слабыми местноанестизирующими свойствами, стимулирует холодовые рецепторы кожи и слизистых, слабый антисептик
Mnemonic rule

валидол
*) Применяется в составе комбинированной антиангинальной терапии
*) Усиливает седативный эффект опиоидных анальгетиков, психотропных средств, средств для наркоза и алкоголя
Mnemonic rule
валидол – холодящий ментол с изовалерьяновой кислотой. Вдвойне успокаивает

тропан
*) Тропановое ядро входит в состав молекул тропановых растительных алкалоидов, содержащихся в растениях семейств пасленовых, вьюнковых и эритроксиловых. Наиболее известными представителями тропановых алкалоидов являются атропин, содержащийся в белладонне, скополамин в дурмане семейства паслёновых и кокаин коки семейства эритроксиловых
Mnemonic rule
шагает по тропе, одну ногу выставил вперёд

атропин
*) Антихолинергический (м–холиноблокатор) растительный алкалоид, содержащийся в различных растениях семейства паслёновых: в красавке, белене, разных видах дурмана и др.
*) Левовращающий изомер носит название гиосциамина и примерно в 2 раза активнее атропина. Естественным алкалоидом, содержащимся в растениях, является именно гиосциамин; при химическом выделении алкалоида он, в основном, превращается в рацемическую форму — атропин.
*) В медицинской практике применяют атропина сульфат
*) Является экзогенным антагонистом м–холинорецепторов. Способность связываться с холинорецепторами объясняется наличием в его структуре фрагмента, роднящего его с молекулой эндогенного агониста — ацетилхолина.
*) Проникает через гематоэнцефалический барьер и оказывает сложное влияние на ЦНС
*) В больших дозах стимулирует кору головного мозга и может вызвать двигательное и психическое возбуждение, сильное беспокойство, судороги, галлюцинаторные явления
Mnemonic rule
закапали – и глаза стали миндалевидными и на стебельках

тропинон
*) Синтезирован в 1917 году Робертом Робинсоном в качестве синтетического предшественника атропина, дефицитного во время Первой мировой войны
Mnemonic rule

экгонин
*) Тропановый алкалоид, содержащийся в листьях коки. Структура экгонина родственна структуре кокаина.
Mnemonic rule
из псевдотропина ЭКономно ГОНят кислый экгонин

бензоилэкгонин
) Основной метаболит кокаина (образуется в печени), поэтому используется в анализах мочи на кокаин
) Используется для снятия боли в мышцах
Mnemonic rule

кокаин
*) Наряду с другими алкалоидами содержится в растениях рода Эритроксилум, прежде всего в кокаиновых кустах (Erythroxylum coca), распространённых в тропической зоне Южной Америки, в которых выполняет функцию инсектицида, препятствующего поеданию листьев
Mnemonic rule

тропакокаин
) Значительно менее ядовит, чем кокаин, и при этом его анестетические свойства проявляются быстрее, и притупление болевой чувствительности держится дольше, чем при обезболивании кокаином.
) Добывается из листьев явайского кока
Mnemonic rule
Кокаин утерял верхнюю часть и движется к обычному тропану

азенапин
*) Антипсихотик - применяется при шизофрении и биполярном расстройстве
Mnemonic rule
Слон с хлоровой серьгой в ухе и опалом во лбу; N - нос, а под ним - хобот. Уши ароматические, т.к. шевелятся и разгоняют аромат

карбоновые кислоты
) Класс органических соединений, молекулы которых содержат одну или несколько функциональных карбоксильных групп COOH
) Кислые свойства объясняются тем, что данная группа может сравнительно легко отщеплять протон, поскольку карбонильный кислород дополнительно оттягивает на себя электрон от протона. За редкими исключениями карбоновые кислоты являются слабыми.
*) Разнообразные карбоновые кислоты очень широко распространены в природе
Mnemonic rule

муравьиная кислота
) Первый представитель в ряду насыщенных одноосновных кислот
) Своё название получила потому, что впервые она была выделена в 1670 году английским натуралистом Джоном Рэйем из рыжих лесных муравьёв
) В природе также обнаружена у пчёл, в крапиве, хвое
) Соли и анионы муравьиной кислоты называются формиатами
) При стандартных условиях представляет собой резко пахнущую бесцветную жидкость
) Растворима в ацетоне, бензоле, глицерине, толуоле
*) Кроме кислотных свойств, проявляет также некоторые свойства альдегидов, в частности, восстановительные. При этом она окисляется до углекислого газа.
Mnemonic rule

уксусная кислота
) Бесцветная жидкость с характерным резким запахом и кислым вкусом
) Соли и сложные эфиры уксусной кислоты называются ацетатами
) Уксус является продуктом брожения вина и известен человеку с давних времен
) В Древнем Риме готовили специально прокисшее вино в свинцовых горшках. В результате получался очень сладкий напиток, который называли «сапа». Сапа содержала большое количество ацетата свинца — очень сладкого вещества, которое также называют свинцовым сахаром или сахаром Сатурна. Высокая популярность сапы была причиной хронического отравления свинцом, распространённого среди римской аристократии.
*) Абсолютная уксусная кислота называется ледяной, так как при замерзании образует льдовидную массу
Mnemonic rule

ацетоуксусная кислота
) Одноосновная кетокислота, первый представитель β-кетокислот ) Участвует в обмене веществ - является метаболитом β-окисления жирных кислот in vivo; характерное увеличение ацетоуксусной кислоты в плазме крови наблюдается при весьма серьёзных патологических процессах, так она накапливается в организме у больных сахарным диабетом (относится к кетоновым телам)
Mnemonic rule
 кислота.png?t=1595999829)
надуксусная (перуксусная) кислота
) Относится к группе сильных окислителей и довольно легко разрушается (она, например, менее стабильная, чем пероксид водорода), поэтому она - сильное и удобное дезинфицирующее средство. Эффективна против широкой гаммы микроорганизмов и не дезактивизируется ферментами каталазой и пероксидазой, дезактивирующими пероксид водорода. Она также легко разрушается в пище в безопасные остатки (уксусная кислота и пероксид водорода). ) Основное её применение в промышленности — синтез эпоксидов
Mnemonic rule
 кислота.png?t=1596431650)
трифторуксусная (трифторэтановая) кислота
*) Бесцветная дымящая жидкость с резким специфическим запахом, отдалённо напоминающим запах уксусной кислоты
*) Сильная одноосновная кислота. Разрушает металлы, пробку, резину, бакелит, полиэтилен. Не действует на фторопласт и сухое стекло. Термически стабильна, не разлагается при нагревании до 400 С.
Mnemonic rule

фенилуксусная кислота
) Блестящие иглы с запахом мёда ) Её и её эфиры применяют при составлении парфюмерных композиций и пищевых эссенций ) Служит исходным продуктом для синтеза амфетамина ) Содержится в растениях (в частности, табаке) и некоторых эфирных маслах ) У животных она синтезируется из фенилаланина, затем разлагается и выводится из организма в виде фенилпировиноградной кислоты ) У человека её наличие в моче и поте, обуславливающее их специфический «мышиный» запах, является одним из диагностических признаков фенилкетонурии
Mnemonic rule

пирослизевая кислота
) Химические свойства близки к свойствам бензойной кислоты, однако вследствие более высокой, по сравнению с бензольной, электронной плотности фуранового кольца более реакционноспособна в реакциях электрофильного замещения ) Характерны реакции с раскрытием цикла под действием окислителей
Mnemonic rule
пролин получил кислород вместо азота, а Н расползлась на ароматические черточки
 кислота.png?t=1591637368)
пропионовая (пропановая) кислота
) Бесцветная едкая жидкость с резким запахом
) Является наименьшей кислотой, проявляющей свойства жирных кислот
) Соли и анионы пропионовой кислоты называются пропионатами
) В природе пропионовая кислота найдена в нефти, образуется при брожении углеводов
) Также её получают биологически при метаболическом разложении жирных кислот, содержащих нечётное число атомов углерода, и при разложении некоторых аминокислот. Бактерии рода Propionibacterium производят пропионовую кислоту как конечный продукт своего анаэробного метаболизма. Эти бактерии часто встречаются в желудке жвачных животных и в силосе, и отчасти из-за их деятельности швейцарский сыр имеет свой аромат.
) Пропионовая кислота и её производные применяют в производстве гербицидов, лекарственных средств (ибупрофен, феноболин и др.), душистых веществ (бензил-, фенил-, геранил-, линалоил- пропионаты), пластмасс (например, поливинилпропионата), растворителей (пропил-, бутил-, пентилпропионата и др.), винилпластификаторов и ПАВ (гликолевые эфиры)
*) Препятствует росту плесени и некоторых бактерий, поэтому большая часть производимой пропионовой кислоты используется как консервант в продуктах
Mnemonic rule

ГАМК
) Непротеиногенная аминокислота
) Важнейший тормозной нейромедиатор центральной нервной системы млекопитающих - при выбросе ГАМК в синаптическую щель происходит активация ионных каналов ГАМК(A)- и ГАМК(C)-рецепторов, приводящая к ингибированию нервного импульса
) В организме образуется из другой аминокислоты — глутаминовой с помощью фермента глутаматдекарбоксилазы
) Под влиянием ГАМК активируются энергетические процессы мозга, повышается дыхательная активность тканей, улучшается утилизация мозгом глюкозы, улучшается кровоснабжение
*) ГАМК обнаружена в β-клетках поджелудочной железы в концентрациях, сопоставимых с таковыми в ЦНС. Секреция ГАМК в β-клетках происходит совместно с секрецией инсулина. ГАМК опосредованно ингибирует секрецию глюкагона, связанную с повышением концентрации глюкозы в крови.
Mnemonic rule

лизин
) Протеиногенная незаменимая аминокислота
) В ДНК кодируется последовательностями AAA и AAG
) Растениями и бактериями лизин синтезируется из аспарагиновой кислоты
) Бактерии разлагают лизин в кадаверин декарбоксилированием
*) Производное лизина — аллизин — используется клетками в синтезе эластина и коллагена с помощью фермента лизилоксидаза
Mnemonic rule

гидроксилизин
) Нестандартная аминокислота, входящая в состав коллагена и в некоторые гликопротеины ) В организме образуется из лизина под воздействием лизилгидроксилазы *) Его дефицит считают причиной синдрома Элерса-Данлоса и латиризма (неврологическое заболевание человека и домашних животных вследствие отравления при поедании некоторых зернобобовых семейства Чина, содержащих токсичную оксалилдиаминопропионовую кислоту)
Mnemonic rule

орнитин
) Иначе - диаминовалериановая кислота. Непротеиногенная заменимая аминокислота. В пептидных последовательностях обозначается как Orn. ) Играет важную роль в биосинтезе мочевины (орнитин - важный промежуточный продукт на пути синтеза аргинина) ) При декарбоксилировании, происходящем при гниении трупов, образуется путресцин — одно из нескольких составляющих так называемого трупного яда. ) Присутствует в свободном виде в организмах, входит в состав некоторых антибиотиков *) При приёме внутрь стимулирует реакцию образования мочевины из аммиака в орнитиновом цикле мочевинообразования
Mnemonic rule
птички насрали азотом на валерьянку

валериановая кислота
) Соли и сложные эфиры валериановой кислоты называют валератами
) Обладает запахом рвоты и вызывает рвотный рефлекс у человека
*) При попадании на кожу или слизистые оболочки может вызвать ожоги
Mnemonic rule
простая как 12345

вальпроевая кислота
) Разветвленная короткоцепочечная жирная кислота, полученная из валериановой кислоты
) В основном используется как противоэпилептический препарат, а также для лечения биполярного расстройства и предотвращения мигрени
) Серьезные побочные эффекты могут включать проблемы с печенью
) Механизм её работы неизвестен. Возможно, она действует за счет увеличения уровней ГАМК в головном мозге или путём изменения свойств натриевых каналов
Mnemonic rule
валерианка спроецированная

коричная кислота
) Жирно-ароматическая ненасыщенная карбоновая кислота группы фенилпропаноидов ) Находится в коричном масле, в толуанском и перуанском бальзамах *) Цис-изомер (аллокоричная кислота) содержится в листьях коки
Mnemonic rule
бензойная рыбка съела корицу и отрастила длинный толстый хвост

коричный спирт
) Сложные эфиры коричного спирта (преимущественно ацетат и циннамат) содержатся в эфирных маслах — гиацинтовом, кассиевом и др., а также в некоторых природных смолах и бальзамах — перуанском бальзаме, стираксе и др. ) Широко используют при составлении парфюмерных композиций, отдушек для мыла, как ароматизатор пищевых продуктов и косметических изделий *) Используется как пластификатор при производстве пластмасс, как компонент ряда смазочных масел, как промежуточное соединение в синтезе стрептомицина
Mnemonic rule

кофейная кислота
) Содержится во всех растениях, так как является промежуточным продуктом в биосинтезе лигнина (лигнин — вещество, характеризующее одеревеневшие стенки растительных клеток - сложное полимерное соединение, содержащееся в клетках сосудистых растений и некоторых водорослях) ) Тормозит канцерогенез, хотя по другим данным, она проявляет возможные канцерогенные эффекты *) Проявляет иммуномодулирующую и противовоспалительную активность
Mnemonic rule
коричная рыбка напилась кофе так, что у нее глазки на стебельках выскочили

анетол
*) Ароматический эфир, часто встречающийся в эфирных маслах (анисовое, фенхелевое и др.)
*) Анетол состоит из двух изомеров (цис– и транс–). Наибольшее значение имеет указанный тут транс–анетол — жидкость, обладающая сладким вкусом и запахом аниса
Mnemonic rule
намажься фенхелем, А НЕ ТО комар укусит

миндальная кислота
*) Первый представитель жирно–ароматических гидроксикислот
*) Обладает свойствами спиртов и карбоновых кислот
*) Обладает антисептическими свойствами: ещё до открытия антибиотиков её в виде солей аммония или кальция широко использовали в урологии для лечения инфекционных заболеваний мочевыводящих путей
*) В косметике её широко используют в качестве средства для пилинга кожи, так как она имеет выраженный кератолический эффект и хорошо обновляет клетки эпидермиса (тем самым стимулирует синтез коллагена), отслаивая ороговевшие частицы кожи
Mnemonic rule
миндалина на ветке с листиками

молочная кислота
) Является одновременно карбоновой кислотой и спиртом ) Соли и эфиры молочной кислоты называются лактатами ) Молочная кислота образуется при молочнокислом брожении сахаров и играет важную роль в метаболизме ) При окислении кислородом воздуха или азотной кислотой в присутствии железа или меди она превращается в муравьиную кислоту, уксусную кислоту, щавелевую кислоту, уксусный альдегид, углекислый газ и пировиноградную кислоту ) Молочная кислота формируется при распаде глюкозы ) Чтобы глюкоза могла проходить через клеточные мембраны, ей необходим инсулин. Молекула же молочной кислоты в два раза меньше молекулы глюкозы, и гормональная поддержка ей не нужна — она с лёгкостью сама проходит через клеточные мембраны.
Mnemonic rule
корова с задранным хвостом и большими копытами

пировиноградная кислота
*) Пируваты (соли пировиноградной кислоты) — конечный продукт метаболизма глюкозы в процессе гликолиза. Одна молекула глюкозы превращается в две молекулы пировиноградной кислоты.
*) В условиях достаточного поступления кислорода она дальше превращается в ацетил–кофермент А, а он выступает в качестве основного субстрата для цикла Кребса.
*) Если кислорода недостаточно, она подвергается анаэробному расщеплению с образованием молочной кислоты у животных, и этанола у растений и грибов
*) Выступает в качестве «точки пересечения» многих метаболических путей. Пируват может быть превращён обратно в глюкозу в процессе глюконеогенеза, или в жирные кислоты или энергию через ацетил–КоА, в аланин, или в этанол.
Mnemonic rule
одна ветка обожжена – и без винограда

янтарная кислота
) Содержится в небольших количествах во многих растениях, янтаре
) Стимулирует рост и повышает урожай растений
) Соли и эфиры янтарной кислоты называются сукцинатами (лат. succinum — янтарь)
) Участвует в процессе клеточного дыхания кислорододышащих организмов (цикл Кребса)
Mnemonic rule
чистая как янтарь

фумаровая кислота
*) Её цис–изомер — малеиновая кислота
*) Кристаллы имеют фруктовый вкус
*) Соли и эфиры называют фумаратами
*) В качестве пищевой добавки обозначается E297
*) Обнаружена в растении аптечная дымянка, лишайниках и «исландском мхе»
*) Фумарат является интермедиатом в цикле Кребса. Он образуется при окислении сукцината ферментом сукцинатдегидрогеназой и далее превращается в малат ферментом фумаразой.
*) Кожа человека образует фумарат при действии солнечного света
*) Фумарат также является побочным продуктом цикла мочевины
Mnemonic rule
фу, замарали лимон лишней связью

левулиновая кислота
) Соли левулиновой кислоты называются левулинатами ) Левулиновая кислота и её соли широко используются в фармацевтике (пролекарство) и в органическом синтезе *) Является консервантом. Обладает антисептическими свойствами.
Mnemonic rule
у валериановой кислоты сЛЕВа протянулись ЛИНии к кислороду

аминолевулиновая кислота
*) Иначе – δ–аминолевулиновая кислота (дельта– или 5–аминолевулиновая кислота)
*) Первичный компонент синтеза тетрапирролов: порфиринов и корринов у животных и хлорофилла у растений
*) У нефотосинтезирующих организмов: животных, грибов и простейших, она образуется из глицина и сукцинил–CoA. У растений, водорослей, бактерий и архей она образуется из глутаминовой кислоты.
Mnemonic rule

малеиновая кислота
) Соли и сложные эфиры малеиновой кислоты называются малеаты ) Наиболее важным применением малеиновой кислоты является использование её в производстве фумаровой кислоты
Mnemonic rule

малеимид
*) Малеимидами также называют класс органических соединений, образующихся при замещения водорода, присоединенного к азоту
*) Из–за своей высокой реакционной способности, очень небольшое количество природных соединений содержит малеимидовый остаток
*) Широко испольлзуется в биотехнологиях для модифицирования соединений
Mnemonic rule
МАЛЕнький И МИлый носорог

Mnemonic rule
слизняк распушился во все стороны гидроксилами - 4 лапки-гидроксила + 2 карбо-головы

японовая кислота
) Двухосновная кислота, выделенная из натурального жира, называемого японским воском. Поскольку природное сырьё, из которого кислота получена, а именно — высушенный сок некоторых видов акаций, назывался «японской землёй», и кислота получила название японовой. ) Хромовые соли японовой кислоты применяются в крашении тканей
Mnemonic rule

глицин
) Простейшая алифатическая аминокислота, единственная протеиногенная аминокислота, не имеющая оптических изомеров. Заменимая. ) Из глицина в клетках синтезируются порфирины и пуриновые основания ) Является нейромедиаторной аминокислотой, проявляющей двоякое действие. Глициновые рецепторы имеются во многих участках головного и спинного мозга. Связываясь с рецепторами, глицин вызывает тормозящее воздействие на нейроны, уменьшает выделение из нейронов возбуждающей глутаминовой кислоты, и повышает выделение тормозящей ГАМК. С другой стороны, глицин связывается со специфическими участками NMDA-рецепторов и, таким образом, способствует передаче сигнала от возбуждающих нейротрансмиттеров глутамата и аспартата. ) Не проникает через гематоэнцефалический барьер, так же как и аланин, пролин, серин, ГАМК
Mnemonic rule

аланин
) 2-аминопропановая кислота) — алифатическая протеиногенная аминокислота
) Аланин легко превращается в печени в глюкозу. Этот процесс носит название глюкозо-аланинового цикла и является одним из основных путей глюконеогенеза в печени
Mnemonic rule

серин
) Протеиногенная заменимая аминокислота ) Участвует в образовании активных центров ряда ферментов (эстераз, пептидгидролаз), обеспечивая их функцию ) Действие некоторых фосфорорганических соединений основано на необратимом присоединении молекулы яда к OH- группам остатков серина, приводящему к полному ингибированию каталитической активности ферментов. Токсический эффект прежде всего связан с ингибированием ацетилхолинэстеразы. ) Фосфорилирование остатков серина в составе белков имеет важное значение в механизмах межклеточной передачи сигналов ) Серин участвует в биосинтезе ряда других аминокислот: глицина, цистеина, метионина, триптофана ) В процессе распада в организме серин подвергается прямому или непрямому дезаминированию с образованием пировиноградной кислоты, которая в дальнейшем включается в цикл Кребса
Mnemonic rule

фенилаланин
) Ароматическая протеиногенная альфа-аминокислота. По химическому строению его можно представить как аланин, в котором один из водородов замещён фенильной группой
) Существует в двух оптически изомерных формах l и d и в виде рацемата
*) Участвуя в гидрофобных и стэкинг-взаимодействиях, играет значительную роль в фолдинге и стабилизации белковых структур, является составной частью функциональных центров
Mnemonic rule
.png?t=1591738699)
ДОФА (L–дигидроксифенилаланин)
) Непротеиногенная аминокислота, продукт гидроксилирования тирозина ) Промежуточный продукт биосинтеза дофамина, норадреналина, адреналина и меланинов *) При пероральном введении всасывается, проникает в ЦНС, подвергается декарбоксилированию, превращается в дофамин и, пополняя его запасы в базальных ганглиях, стимулирует дофаминовые рецепторы и обеспечивает при паркинсонизме лечебный эффект
Mnemonic rule

метилдопа (метилдофа)
*) Эффективное антигипертензивное средство, применяется при разных формах гипертонии. Проникает через гематоэнцефалический барьер и в ЦНС метаболизируется, превращаясь сначала в метилдофамин, затем в метилнорадреналин. Последний, подобно клофелину, стимулирует центральные α2-адренорецепторы, тормозит симпатическую импульсацию, что приводит к снижению артериального давления, замедлению сердечных сокращений, уменьшению сердечного выброса и снижению периферического сосудистого сопротивления.
Mnemonic rule
доПолнительный метил к ДОФА

тирозин
) Ароматическая протеиногенная альфа-аминокислота, отличается от фенилаланина наличием фенольной гидроксильной группы в пара-положении бензольного кольца ) Известны менее важные с биологической точки зрения мета- и орто- изомеры тирозина ) Во многих ферментах именно тирозину отведена ключевая роль в ферментативной активности и её регуляции ) Местом атаки фосфорилирующих ферментов протеинкиназ часто является именно фенольный гидроксил остатков тирозина. Остаток тирозина в составе белков может подвергаться и другим посттрансляционным модификациям.
Mnemonic rule
в ТИРе протеинкиназа метит в тирозин

тирамин
) Найден в спорынье, гниющих тканях, сыре
) В связи с сосудосуживающим действием повышает кровяное давление, влияет на процессы возбуждения и торможения в нервной системе
) Токсичен
) Образуется из тирозина под действием бактериальных декарбоксилаз, в частности при гнилостных процессах в кишечнике млекопитающих животных и человека
*) Обезвреживание избыточного тирамина в живом организме осуществляется в результате его окисления ферментом моноаминоксидазой (МАО)
Mnemonic rule

гистидин
) Заменимая протеиногенная аминокислота ) Вместе с лизином и аргинином гистидин образует группу осно́вных аминокислот ) Гистидином богаты такие продукты как тунец, лосось, свиная вырезка, говяжье филе, куриные грудки, соевые бобы, арахис, чечевица ) Остаток гистидина входит в состав активных центров множества ферментов ) Является предшественником в биосинтезе гистамина ) В большом количестве содержится в гемоглобине
Mnemonic rule

гистамин
) Биогенный амин, медиатор аллергических реакций немедленного типа, также является регулятором многих физиологических процессов. ) Образуется в организме при декарбоксилировании гистидина, катализируемого гистидиндекарбоксилазой ) Накапливается в тучных клетках и базофилах в виде комплекса с гепарином ) Конечные метаболиты гистамина — имидазолилуксусная кислота и N-метилгистамин (выводятся с мочой) ) В обычных условиях гистамин находится в организме преимущественно в связанном, неактивном состоянии. При различных патологических процессах (анафилактический шок, ожоги, обморожения, сенная лихорадка, крапивница и аллергические заболевания), а также при поступлении в организм некоторых химических веществ, количество свободного гистамина увеличивается. «Высвободителями» гистамина являются d-тубокурарин, морфин, никотиновая кислота, высокомолекулярные соединения (декстран и др.) и др. ) Свободный гистамин обладает высокой активностью: он вызывает спазм гладких мышц (включая мышцы бронхов), расширение капилляров и понижение артериального давления; застой крови в капиллярах и увеличение проницаемости их стенок; вызывает отёк окружающих тканей и сгущение крови. В связи с рефлекторным возбуждением мозгового вещества надпочечников выделяется адреналин, суживаются артериолы и учащаются сердечные сокращения; усиливается секреция желудочного сока. ) Немного гистамина содержится в ЦНС, где он играет роль нейромедиатора ) В организме есть специфические рецепторы, для которых гистамин является эндогенным лигандом-агонистом; их 4 подгруппы: Н1-, Н2-, Н3- и H4-рецепторы.
Mnemonic rule

валин
) Одна из протеиногенных аминокислот, входит в состав практически всех известных белков. Незаменимая для человека аминокислота.
) Один из главных компонентов в росте и синтезе тканей тела. Вместе с лейцином и изолейцином служит источником энергии в мышечных клетках, а также препятствует снижению уровня серотонина. Повышает мышечную координацию и понижает чувствительность организма к боли, холоду и жаре и т.д.
) Используется для лечения наркоманий, депрессий (несильное стимулирующее соединение); рассеянного склероза, так как защищает миелиновую оболочку, окружающую нервные волокна в головном и спинном мозге.
) Необходим для поддержания нормального обмена азота в организме.
Mnemonic rule

лейцин
) Протеиногенная незаменимая аминокислота ) Синтезируется растениями и микроорганизмами из пировиноградной кислоты ) Применяется для лечения болезней печени, анемий и др. ) Входит в состав многих БАД. L-лейцин - пищевая добавка E641, классифицируется как усилитель вкуса
Mnemonic rule

норлейцин
) α-аминокапроновая кислота — аминокислота, не входящая в состав природных белков ) Используется в экспериментальных исследованиях структуры и функции белков, а также для синтеза биологически активных пептидов, в пептидных последовательностях обозначается Nle
Mnemonic rule
такому вытянувшемуся лейцину легче залезать в нору

изолейцин
) Протеиногенная незаменимая аминокислота ) Сокращённо Ile или I ) Участвует в энергетическом обмене. При недостаточности ферментов, катализирующих декарбоксилирование изолейцина, возникает кетоацидоз. ) Обладая углеводородной боковой цепью, изолейцин относится к числу гидрофобных аминокислот *) В растениях и микроорганизмах он синтезируется в нескольких стадий: от пировиноградной кислоты и α-кетобутирата; процесс катализируется рядом ферментов, среди которых треониндезаминаза
Mnemonic rule

пеницилламин
*) Обладает противовоспалительной и иммуносупрессивной активностью при аутоиммунных заболеваниях. Эффективен при ревматизме.
*) Комплексообразующее соединение. Образует хелатные комплексы с ионами меди, ртути, свинца, железа, мышьяка, кальция, цинка, кобальта, золота.
*) Оказывает влияние на различные звенья иммунной системы (подавление Т–хелперной функции лимфоцитов, торможение хемотаксиса нейтрофилов и выделения ферментов из лизосом этих клеток, усиление функции макрофагов)
*) Нарушает синтез коллагена, расщепляя перекрёстные связи между вновь синтезирующимися молекулами тропоколлагена
*) Возможно развитие серьёзных, иногда угрожающих жизни побочных реакций. Препараты железа уменьшают абсорбцию пеницилламина и ослабляют его эффект.
Mnemonic rule

метионин
) Протеиногенная незаменимая аминокислота ) Значительное количество метионина содержится в казеине ) Служит в организме донором метильных групп (в составе S–аденозил–метионина) при биосинтезе холина, адреналина и др., а также источником серы при биосинтезе цистеина ) Оказывает некоторое липотропное действие, повышает синтез холина, лецитина и других фосфолипидов, в некоторой степени способствует снижению содержания холестерина в крови и улучшению соотношения фосфолипиды/холестерин, уменьшению отложения нейтрального жира в печени и улучшению функции печени, может оказывать умеренное антидепрессивное действие (по–видимому, за счёт влияния на биосинтез адреналина)
Mnemonic rule
как норлейцин, только вместо предпоследнего углерода отМЕТИНа серы

цистеин
) Протеиногенная заменимая аминокислота (может синтезироваться в организме млекопитающих из серина с участием метионина как источника серы, а также АТФ и витамина В6)
) В некоторых микроорганизмах источником серы для синтеза цистеина может быть сероводород
) Способствует пищеварению, участвуя в процессах переаминирования
) Входит в состав α-кератинов, основного белка ногтей, кожи и волос. Способствует формированию коллагена и улучшает эластичность и текстуру кожи. Входит в состав и других белков, в том числе некоторых пищеварительных ферментов.
) Имеет значение для дезинтоксикационных процессов - способствует обезвреживанию некоторых токсических веществ и защищает организм от повреждающего действия радиации
) Один из самых мощных антиоксидантов, при этом его антиоксидантное действие усиливается при одновременном приеме витамина С и селена.
*) Является предшественником глутатиона — вещества, оказывающего защитное действие на клетки печени и головного мозга от повреждения алкоголем, некоторыми лекарственными препаратами и токсическими веществами, содержащимися в сигаретном дыме
Mnemonic rule

глутаминовая кислота
) Протеиногенная заменимая аминокислота («Glu» или «E») ) Играет важную роль в метаболизме азотсодержащих биохимических веществ *) Является нейромедиаторной возбуждающей аминокислотой
Mnemonic rule
сначала Аспарагин, а потом уже Глутамин - на один атом углерода длиннее

глутамин
) Протеиногенная, заменимая аминокислота
) Является амидом моноаминодикарбоновой глутаминовой кислоты, образуясь из неё в результате прямого аминирования под воздействием глутаминсинтетазы
) В растворе глутамин медленно гидролизуется до глутаминовой кислоты
) Может превращаться в ГАМК
Mnemonic rule
) орнитин с приклеившимся (glue) кислородом
) глутаминовая кислота, у которой дальний гидроксил заменен аминогруппой

пролин
) Гетероциклическая аминокислота, в которую атом азота входит в составе вторичного, а не первичного, амина (в связи с чем пролин правильнее называть иминокислотой)
) Одна из протеиногенных аминокислот
) Особенно богат пролином основной белок соединительной ткани — коллаген. Обладая конформационно жёсткой структурой, пролин сильно изгибает пептидную цепь. Участки белков с высоким содержанием пролина часто формируют вторичную структуру полипролиновой спирали II типа. В составе коллагена пролин при участии аскорбиновой кислоты окисляется в гидроксипролин. Чередующиеся остатки молекулы пролина и гидроксипролина способствуют созданию стабильной трёхспиральной структуры коллагена, придающей молекуле прочность.
) В организме пролин синтезируется из глутаминовой кислоты
Mnemonic rule

гидроксипролин
) Отличается от пролина наличием гидроксильной группы у одного из атомов углерода
) Входит в состав белка коллагена, входящего в соединительную ткань, а также в желатин
*) Синтезируется из пролина. Для синтеза необходим молекулярный кислород и витамин C.
Mnemonic rule

урацил
*) Пиримидиновое основание, которое является компонентом РНК и как правило отсутствует в ДНК, входит в состав нуклеотида
*) В составе нуклеиновых кислот может комплементарно связываться с аденином, образуя две водородные связи
*) Способен к таутомерии. Таутомерия – явление обратимой изомерии, при которой два или более изомера легко переходят друг в друга. При этом устанавливается таутомерное равновесие, и вещество одновременно содержит молекулы всех изомеров (таутомеров) в определённом соотношении. Чаще всего при таутомеризации происходит перемещение атомов водорода от одного атома к другому и обратно в одной и той же молекуле
Mnemonic rule
два кислорода на длинных торчащих связях – как две вскинутые вверх с криком "ура" руки. Выучила самое простое из нуклеиновых оснований, первый пиримидин в коллекции

5–фторурацил
) Противоопухолевый препарат из группы антиметаболитов, антагонистов пиримидинов ) Ингибирует процесс деления клеток путём блокирования синтеза ДНК (вследствие угнетения активности фермента тимидилатсинтетазы) и образования структурно несовершенной РНК (вследствие внедрения фторурацила в её структуру). ) Проникает через ГЭБ. Быстро метаболизируется в тканях с образованием активного метаболита — фторуридинмонофосфата. Расщепление происходит в печени. ) Применяется при разных формах рака.
Mnemonic rule

цитозин
*) Азотистое основание. С рибозой образует нуклеозид цитидин, входит в состав нуклеотидов ДНК и РНК. Во время репликации и транскрипции по принципу комплементарности образует три водородных связи с гуанином.
Mnemonic rule
полный набор: N, NH, NH2

тимин
) Производное пиримидина, одно из пяти азотистых оснований. Присутствует во всех живых организмах, где вместе с дезоксирибозой входит в состав нуклеозида тимидина, который может фосфорилироваться 1-3 остатками фосфорной кислоты с образованием нуклеотидов тимидин моно-, ди- или трифосфорной кислоты (ТМФ, ТДФ и ТТФ). ) Дезоксирибонуклеотиды тимина входят в состав ДНК, а в РНК на его месте располагается рибонуклеотид урацил. Тимин комплементарен аденину, образуя с ним 2 водородные связи. ) Тиминовое основание часто окисляется до гидантоина с течением времени после смерти организма ) Тимин рассеивает энергию ультрафиолетового излучения, обеспечивая защиту ДНК
Mnemonic rule

фенилэтиламин
) Начальное соединение для некоторых природных нейромедиаторов, а его производные являются психоделиками и стимуляторами
) Производится в организмах многих живых существ, от растений до млекопитающих; также производится некоторыми грибками и бактериями (Lactobacillus, Clostridium, Pseudomonas, Enterobacteriaceae) и действует как мощный противомикробный препарат против некоторых патогенных штаммов кишечной палочки
) Обладает раздражающим действием на кожу
) В головном мозге он влияет на настроение и эмоции, увеличивает сосредоточенность. Это связано с повышением концентрации дофамина и норадреналина в межсинаптических пространствах. По действию напоминает амфетамин, но без присущих тому побочных эффектов, однако возможно развитие психологической зависимости при длительном применении
Mnemonic rule

дофамин
) Гормон и нейромедиатор
) Синтезируется из L-ДОФА. В дальнейшем из него может синтезироваться норадреналин
*) Является одним из химических факторов внутреннего подкрепления и служит важной частью «системы вознаграждения» мозга, поскольку вызывает чувство удовольствия. Дофамин естественным образом вырабатывается в больших количествах во время положительного, по субъективному представлению человека, опыта
Mnemonic rule
ДОФига удовольствия
.png?t=1591642510)
норадреналин (норэпинефрин)
) Нейромедиатор, обеспечивающий химическую передачу нервного импульса в норадренергических синапсах центральной и периферической нервных системах. Входит в группу катехоламинов. Считается одним из важнейших «медиаторов бодрствования» ) Является предшественником адреналина. Предшественником норадреналина является дофамин, который синтезируется из тирозина ) Синтез норадреналина, как и адреналина, происходит в задней части гипоталамуса и в мозговом веществе надпочечников ) Выделяют α-1, α-2 и β-рецепторы к норадреналину. Каждая группа делится на подгруппы, различающиеся сродством к разным агонистам, антагонистам и, частично, функциями. *) У норадреналина несколько путей деградации, обеспечивающихся двумя ферментами: моноаминооксидазой-А (МАО-А) и катехол-О-метил-трансферазой (КОMT). В конечном итоге норадреналин превращается либо в 4-гидрокси-3-метоксифенилгликоль, либо в ванилилминдальную кислоту
Mnemonic rule
из-за дофамина гидроксил обрадовался и вылез из НОРы
.png?t=1591642928)
адреналин (эпинефрин)
) Адреналин (эпинефрин) - гормон, который синтезируется в мозговом веществе надпочечников. По химическому строению является катехоламином (к катехоламинам относятся, в частности, еще и такие нейромедиаторы, как норадреналин, дофамин). ) Вырабатывается организмом из тирозина, поступающего с пищей ) Также образуется при возбуждении вегетативной нервной системы (в синапсах нервных волокон) ) Сужает сосуды, особенно в брюшной полости. Объём крови в организме перераспределяется, из печени и селезёнки она оттекает в сосуды тела, пополняя объём циркулирующей в них крови, вследствие чего сосуды, ведущие к сердцу и мозгу, расширяются, кровоснабжение органов улучшается *) Играет важную роль в физиологической реакции «бей или беги» (не менее важную роль в запуске этой реакции играет остеокальцин)
Mnemonic rule
метилированный норадреналин в нору не пролезает и становится просто адреналином

амфетамин
) Синтетический стимулятор центральной нервной системы, производное фенилэтиламина
) Действие амфетамина основано на увеличении выброса катехоламинов, в особенности дофамина и норадреналина, из пресинаптических окончаний
Mnemonic rule
конфетамин
открывает штопором АМФору
.png?t=1596114022)
пара–метоксиамфетамин (PMA)
*) Соединение класса амфетаминов, обладающее психостимулирующим и эмпатогенным действием, аналогичным действию MDMA. В некоторых случаях под видом MDMA («Экстази») продаётся именно PMA
Mnemonic rule

метамфетамин
) Психостимулятор с высоким потенциалом к формированию зависимости
) Структурно схож с адреналином, поэтому оказывает сильное адреномиметическое действие на периферическую нервную систему — сужает периферические сосуды, повышает артериальное давление, ускоряет сердцебиение, вызывает расширение зрачков, повышает функциональную активность скелетных мышц, особенно при утомлении. Это воздействие связано с активацией симпатической системы
*) На ЦНС метамфетамин оказывает сильное и длительное психостимулирующее воздействие
Mnemonic rule

4–фторамфетамин
) Иначе - парафторамфетамин; флюкс ) Психоактивное вещество. Агонист как дофаминовых, так и серотониновых рецепторов. Оказывает стимулирующее воздействие, сходное с амфетамином, и релаксирующее, сходное с 4-метиламфетамином, с психоделическими эффектами и более выраженной эйфорией.
Mnemonic rule
.png?t=1596113970)
DOM (2,5–диметокси–4–метиламфетамин)
*) Химическое соединение класса амфетаминов, психоделик
*) Действие DOM, как и других классических галлюциногенов, связано с агонизмом к серотониновым рецепторам типа 5–HT2A
Mnemonic rule
Рыбка стремится в дом

эфедрин
*) Название – от названия основного содержащего растения – эфедра
*) Психоактивный ядовитый алкалоид
*) Эфедрин в организме животных является провокатором высвобождения адреналина и норадреналина, в большей степени вне ЦНС, а также ингибитором МАО
Mnemonic rule
от метамфетамина возбудилась ЭФа, и на ней вскочил гидроксил

мескалин
) Психоделик
) В небольших количествах содержится в кактусах рода Lophophora (Lophophora williamsii) и Эхинопсис; синтезируется искусственным путём из галловой кислоты, также может быть синтезирован из ванилина
Mnemonic rule

эскалин
*) Психоделик и энтеоген из семейства фенилэтиламинов
Mnemonic rule
дополнительная метильная группа образует ступеньку ЭСКАЛатора

проскалин
) 4-пропилокси гомолог мескалина ) Психоделик и галлюциноген, обладает структурными и фармакодинамическими свойствами, подобными мескалину, изопроскалину и эскалину
Mnemonic rule
на эскалаторе еще один углерод ПРОСКользнул вниз, и из эскалина получился проскалин

изопроскалин
) 4-изопропокси-3,5-диметоксифенилэтиламин ) Галлюциноген, психоделик, аналог мескалина
Mnemonic rule
ИЗвернулся ПРОСКользнувший углерод

бускалин
*) Малоизвестное психоактивное вещество из семейства фенилэтиламинов, аналог мескалина. Не вызывает психоделических эффектов, но вызывает сердечную аритмию и легкую диарею.
Mnemonic rule
средний коготь мескалина вырос и загнулся - БУ!

α–метилмескалин
) 3,4,5-триметоксиамфетамин (TMA, 3,4,5-TMA, α-метилмескалин) — химическое соединение класса амфетаминов, психоделик ) По структуре и фармакологическим свойствам аналогичен мескалину *) Механизм действия аналогичен механизму действия других классических психоделиков и основан на агонизме к 5-HT2A-рецепторам. 5-HT2A-рецептор у млекопитающих является одним из подтипов 5-HT2-рецепторов, подсемейства серотониновых рецепторов. Он является метаботропным G-белок-сопряжённым рецептором, широко экспрессирован в различных отделах ЦНС. Особенно высокая концентрация 5-HT2A-рецепторов обнаруживается в апикальных дендритах пирамидальных клеток 5-го слоя коры, что, как предполагается, модулирует когнитивные процессы, рабочую (кратковременную) память и внимание.
Mnemonic rule

пиррол
) Обладает слабыми кислотными свойствами ) Содержится в костном масле (которое получают при сухой перегонке костей), а также в каменноугольной смоле. *) Пиррольные кольца входят в состав порфиринов — хлорофилла растений, гема гемоглобинов и цитохромов и ряда других биологически важных соединений
Mnemonic rule
орден за ПИРРОву победу попахивает азотом
.png?t=1591643765)
пирролин (дигидропиррол)
*) Пятичленные циклы с одной двойной связью и одним атомом азота
Mnemonic rule
пиррол И Нелишние водороды

пирролидин
) Циклический амин с четырьмя атомами углерода в цикле ) Прозрачная жидкость с аммиачным запахом, дымит на воздухе ) Обнаружен в табаке и моркови ) Пирролидиновая структура входит в состав некоторых алкалоидов (например никотина), аминокислот пролина и гидроксипролина, а также входит в состав многих лекарств
Mnemonic rule
ЛИДИрует по количеству водородов
.png?t=1591650591)
пирролидон (γ–лактам)
*) Легко растворим в воде, спирте, бензоле, диэтиловом эфире, хлороформе, сероуглероде
Mnemonic rule
пирролидин +О

имидазол
) Ароматичен
) Имидазольный цикл входит в состав незаменимой аминокислоты гистидина
*) Структурный фрагмент гистамина, пуриновых оснований, ряда лекарств
Mnemonic rule
один азот зол, и второй зол, так что между ими - углерод

индол
) Входит во множество биохимических природных соединений. Как индивидуальное вещество содержится в каменноугольной смоле и в некоторых эфирных маслах, например, в масле жасмина, цитрусовых
) По своей реакционной способности схож с бензолом, но более реакционноспособен
) Индол и его гомолог скатол образуются в кишечнике млекопитающих в результате расщепления гнилостными бактериями триптофана
) Обладает очень неприятным запахом, но в крайне малых концентрациях имеет запах жасмина (в эфирном масле которого содержится) и применяется в парфюмерии
Mnemonic rule

скатол
) Производное индола. Бесцветные кристаллы с очень неприятным запахом. При низких концентрациях приобретает приятный сливочно–молочный запах или запах, напоминающий запах жасмина.
) Образуется в кишечнике животных в результате разложения триптофана, и запах фекалий обусловлен, главным образом, именно содержанием в них скатола. Поскольку триптофаном богаты белки животного происхождения (мясо), скатол присутствует в испражнениях в большей концентрации при большом количестве мяса в рационе.
) Содержится в каменноугольной смоле
) В незначительных количеств имеется во многих цветочных эссенциях
Mnemonic rule
скаты срут, скоты
.png?t=1596814089)
гетероауксин (индолил–3–уксусная кислота)
) Вещество группы ауксинов и самый распространенный из них, производное индола ) Фитогормон, стимулятор роста растений, имеет высокую физиологическую активность, образуется в растениях и влияет на ростовые процессы (так называемый гормон роста) ) Образуется из триптофана в листьях, а затем со скоростью 1 см в час перемещается в растущие стебли и корни растений, где окисляется и переходит в деятельное состояние ) Применяется в растениеводстве, например для ускорения образования корней при размножении черенками *) Физиологическая роль гетероауксина в растениях настолько разнообразна, что до сих пор не выяснена во всех деталях. Помимо стимуляции растяжения клеток растений, гетероауксин влияет и на многие другие процессы. Под его действием интенсифицируется деление клеток. Известно, что процесс опадения листьев контролируется гетероауксином: перед опадением его приток из листа в черешок сильно сокращается. Обработка черешка гетероауксином предотвращает опадение. Особенно сложны механизмы регуляции гетероауксином процессов цветения и плодоношения. Он влияет на пол образующегося цветка, на рост и формирование пыльцевой трубки. Установлено также, что рост плодов стимулируется гетероауксином, образующимся в семенах и поступающим оттуда в ткань плода. Если семена удалить, рост плода прекращается, однако он опять возобновится после того, как плодовая ткань начнет получать гетероауксин искусственным путём.
Mnemonic rule
ГЕТЕРы АУкают - цветы растут

триптамин
) Моноаминный алкалоид, производное индола
) Находится в растениях и организмах животных. Химически схож с триптофаном. Производные триптамина играют важную роль в жизнедеятельности живых организмов.
) Является промежуточным звеном при биосинтезе большинства индольных алкалоидов и алкалоидов группы хинина. Предполагается, что триптамин играет роль нейромедиатора и нейротрансмиттера в головном мозге млекопитающих.
) Большинство производных триптамина обнаруживают психоактивные свойства. Одним из известных производных триптамина является серотонин, важнейший нейромедиатор и гормон.
Mnemonic rule
.png?t=1591648203)
N,N–диметилтриптамин (DMT)
*) Эндогенный, вырабатывающийся эпифизом во время фазы быстрого сна психоделик, в нервной системе человека выполняет функцию агониста 5–HT2A серотониновых рецепторов, также алкалоид многих растений, сильнодействующее психоактивное вещество из класса триптаминов
*) По химической структуре DMT схож с серотонином — одним из важных нейромедиаторов головного мозга млекопитающих
*) DMT — психоделик, вызывающий изменённое состояние сознания с переживанием, схожими с религиозно–мистическим опытом, с интенсивными визуальными и слуховыми галлюцинациями, изменением восприятия времени и реальности
Mnemonic rule
.png?t=1596914185)
серотонин
) Один из основных тормозящих нейромедиаторов. Серотониновой системе мозга противопоставляется дофаминовая, которая в основном является активирующей.
) Физиологические функции чрезвычайно многообразны. Серотонин «руководит» очень многими функциями в организме.
) Серотонинергические нейроны группируются в стволе мозга: в варолиевом мосту и ядрах шва
) Серотонин, как тканевый гормон, вызывает сокращение гладкой мускулатуры (сосуды, кишечник и т.д.)
) Существуют по крайней мере 14 видов серотониновых рецепторов, которые отвечают за разнообразные функции серотонина
) В организме образуется из триптофана путём её последовательного 5-гидроксилирования и последующего декарбоксилирования. 5-триптофангидроксилаза синтезируется только в соме серотонинергических нейронов, а гидроксилирование происходит в присутствии ионов железа и кофактора птеридина
) Для некоторых типов серотониновых рецепторов обнаружены другие эндогенные лиганды, например 5HT-модулин (Leu-Ser-Ala-Leu) - эндогенный лиганд 1B и 1D пресинаптических рецепторов, индуктор тревожности и стресса
) Серотонин является предшественником мелатонина, образующегося под действием фермента эпифиза ААНАТ в эпифизе
*) Норадреналин ингибирует выброс серотонина
Mnemonic rule
радикал серина (-ОН) + триптамин = серотонин

мелатонин
) Основной гормон эпифиза, регулятор циркадного (суточного) ритма всех живых организмов ) Мелатонин также образуется и в разных отделах желудочно-кишечного тракта, а также во многих других органах ) К другим важнейшим функциям мелатонина относится его антиоксидантная активность в организме животных и растений ) В организме человека мелатонин синтезируется из триптофана, который участвует в синтезе нейромедиатора серотонина, а он, в свою очередь, превращается в мелатонин ) Мелатонин синтезируется ночью ферментами N-ацетилтрансферазой и гидроксииндол-О-метилтрансферазой ) Синтез и секреция мелатонина зависят от освещённости — избыток света понижает его синтез, а снижение освещённости - увеличивает. У человека с нормальным распорядком дня (со сном ночью) на ночные часы приходится примерно 70% суточной продукции мелатонина. ) Есть эффект снижения выработки мелатонина во время геомагнитных бурь ) Транспортируется сывороточным альбумином, после освобождения от альбумина связывается со специфическими рецепторами на мембране клеток-мишеней, проникает в ядро и там осуществляет своё действие ) Мелатонин — редкий пример гормона, у которого имеются как мембранные, так и ядерные рецепторы ) Быстро гидролизуется в печени и выделяется с мочой; основным метаболитом является 6-гидроксимелатонин-сульфат (6-СОМТ) *) Основные функции: регулирует деятельность эндокринной системы, кровяное давление, периодичность сна, сезонную ритмику у многих животных, замедляет процессы старения, усиливает эффективность иммунной системы, обладает антиоксидантными свойствами, влияет на процессы адаптации при быстрой смене часовых поясов, участвует в регуляции функций пищеварительного тракта и работы клеток головного мозга
Mnemonic rule

псилоцибин
) Алкалоид из семейства триптаминов; фосфорилированное производное псилоцина; психоделик
) Наибольшее его количество содержится в грибах рода Psilocybe, в меньших количествах - в грибах родов панеолус, строфария, гимнопил, волоконница и во многих других грибах
*) Попадая в печень, псилоцибин дефосфорилируется в псилоцин, который и оказывает психоделический эффект
Mnemonic rule
DMT в фосфоресцирующих грибах оброс слева (фосфатной группой) и справа (водородом)

псилоцин (4–HO–DMT)
) Психоактивный алкалоид из семейства триптаминов.
) Попадая в печень, псилоцибин дефосфорилируется в псилоцин, который и оказывает психоделический эффект
) Наряду с псилоцибином обнаруживается в большинстве галлюциногенных грибов
) Проявляет высокое сродство к серотониновым рецепторам 5-HT2A, в меньшей степени к 5-HT1A, 5-HT1D и 5-HT2C
*) При высоких дозировках имеется заметное воздействие на норадреналиновые рецепторы
Mnemonic rule
псилоцибин упростился с обоих сторон: потерял фосфатную группу слева и водород справа

триптофан
) Протеиногенная аминокислота
) Относится к ряду гидрофобных аминокислот, поскольку содержит ароматическое ядро индола. Участвует в гидрофобных и стэкинг-взаимодействиях.
*) Присутствует в большинстве растительных белков, особенно им богаты соевые бобы. Наиболее богаты триптофаном такие продукты, как сыр, рыба, мясо, бобовые, творог. Мясо и рыба содержат триптофан неравномерно: белки соединительной ткани (коллаген, эластин, желатин) не содержат триптофан
Mnemonic rule

изатин
) Изатину свойственна таутомерия; он существует как в лактамной, так и в лактимной форме ) Изатин и некоторые его производные — ценные полупродукты в производстве индигоидных красителей *) Изатин-β-оксим — продукт взаимодействия изатина с гидроксиламином — применяют для обнаружения и определения урана, серебра, кобальта и многих других переходных металлов
Mnemonic rule
и затем мы идём к индиго

индиго
) Кристаллы фиолетового цвета
) Является крупнотоннажным (потребляемым в больших количествах) продуктом, большая часть которого идёт на окраску волокна при производстве джинсовой ткани
*) До конца XIX века индиго получали из растений индигоноски, семейства мотыльковых, преимущественно тропических
Mnemonic rule

гексоген
) Мощное взрывчатое вещество
) Белый кристаллический порошок. Без запаха, вкуса, сильный яд.
) Применяют для изготовления детонаторов, как правило в смеси с другими веществами (тротилом и т.п.), а также с добавкой флегматизаторов (парафина, воска, церезина), уменьшающих опасность взрыва гексогена от случайных причин. Например, широко известная С-4 — это 91% гексогена с добавлением полиизобутилена, диоктилсебацината и жидкой смазки.
) Может использоваться как компонент топлива в твердотопливных ракетных двигателях
Mnemonic rule
гексо-кольцо, генерирующее взрывы

алтретамин
*) Противоопухолевое средство, производное s–триазина. Оказывает цитотоксическое действие. Противоопухолевое действие определяется активностью его метаболитов, которые образуют ковалентные связи с ДНК (в том числе с ДНК опухолевых клеток).
*) Используется в качестве терапии второй линии при прогрессирующем раке яичников, в том числе при резистентности к лечению препаратами платины и/или комбинированной химиотерапии с использованием противоопухолевых алкилирующих средств
*) Обладает эмбриотоксическими и тератогенными свойствами
Mnemonic rule
АЛчно ТРЕТ азотами ДНК опухолевых клеток

фуран
) Бесцветная горючая жидкость с характерным запахом, напоминающим хлороформ
) Родоначальник большой группы органических соединений, многие из которых имеют практическое значение (пиррол и др.)
Mnemonic rule

бензофуран
*) Бесцветная жидкость с ароматным запахом
*) Проявляет ароматические свойства
*) Реагирует с озоном, продуктами реакции являются салициловый альдегид, салициловая кислота или пирокатехин
*) Его обнаруживают в каменноугольной смоле (нафталиновая и фенольная фракции), в коксовом газе и продуктах карбонизации угля. Некоторые его производные находятся в составе фенольных фракций смолы глинистых сланцев и высококипящих каменноугольных смол.
*) Его производные используют как отбеливатели в бумажной промышленности, как сцинтилляционные материалы, антиоксиданты в получении каучуков, в качестве лекарств.
Mnemonic rule

фурфурол
*) Альдегид, производное фурана. Его фурановое кольцо обладает ароматичностью, поэтому по своим свойствам он напоминает бензальдегид.
*) Жидкость с запахом свежего ржаного хлеба или миндаля
*) Может быть получен при кипячении с серной кислотой различных сельскохозяйственных отходов (стебли подсолнечника, соломы, отрубей), а также древесины
*) Используется для получения твёрдых смол, которые используются в производстве стекловолокна, некоторых деталей самолётов и автомобильных тормозов
*) Используется как растворитель для экстракции диенов (используемых для производства синтетической резины) из смеси углеводородов
*) Служит исходным сырьём для получения антимикробных препаратов группы нитрофуранов, таких как фурацилин и т.п.
Mnemonic rule
лис фыр–фырчит и производит фурор

фурфуриловый спирт
) Одноатомный спирт, производное фурана ) Ядовитая, подвижная, прозрачная, иногда желтоватая (до темно-коричневого), со временем краснеющая на воздухе жидкость ) Вступает в характерные для спиртов реакции. Фурановое кольцо обладает ароматичностью, поэтому он может вступать в реакции, характерные для бензальдегида. ) При нагревании в присутствии сильных кислот кислород фуранового кольца присоединяет протон, ароматичность разрушается, и фурфурол полимеризуется (осмоляется), образуя фурановые смолы
Mnemonic rule
лис напился спирта и подцепил клеща (Н) на хвост

тиофен
*) Ароматический пятичленный гетероцикл, содержащий один атом серы в цикле
*) Бесцветная жидкость с запахом бензола
*) Молекула тиофена является плоской
*) Тиофен и его производные менее стабильны, чем их бензольные аналоги, поэтому многие реакции в ряду тиофена сопровождаются поликонденсацией (смолообразованием) и деструкцией
*) Тиофен и его гомологи содержатся в продуктах коксования каменного угля (откуда их и выделяют вместе с каменноугольным бензолом) и продуктах термического разложения сланцев (в некоторых фракциях до 70% по массе)
Mnemonic rule
фен дует серой
 кислота.png?t=1591691508)
сквараиновая (квадратная) кислота
*) Является весьма сильной кислотой, и по значению константы кислотности приближается к серной кислоте
Mnemonic rule
square - квадрат
Квадратная скавародка

глицерин
) Простейший представитель трёхатомных спиртов ) Вязкая прозрачная жидкость со сладким вкусом ) Нетоксичен, в отличие от простейших двухатомных спиртов ) Синонимы - глицерол, пропантриол-1,2,3 *) Триглицериды являются производными глицерина и образуются при присоединении к нему высших жирных кислот, являются важными компонентами в процессе обмена веществ в живых организмах
Mnemonic rule

нитроглицерин
*) Иначе – глицеринтринитрат, тринитроглицерин, 1,2,3–тринитроксипропан, НГЦ – сложный эфир глицерина и азотной кислоты
*) Взрывоопасная прозрачная вязкая нелетучая жидкость
*) Его препараты оказывают антиангинальное, вазодилатирующее и коронародилатирующее (сосудорасширяющее) действие, в основном используется для быстрого купирования приступов стенокардии – вызывает быстрое уменьшение преднагрузки на сердце за счёт расширения периферических вен
*) Нитраты способны высвобождать из своей молекулы оксид азота(II), являющийся естественным эндотелиальным релаксирующим фактором — медиатором прямой активации гуанилатциклазы. Повышение концентрации цГМФ приводит к расслаблению гладкомышечных волокон (преимущественно венул и вен)
Mnemonic rule

лимонная кислота
) 2-гидроксипропан-1,2,3-трикарбоновая кислота ) Является слабой кислотой. Соли и сложные эфиры лимонной кислоты называют цитратами. ) Кристаллическое вещество без цвета и запаха, имеющее сильный кислый вкус ) Содержится в различных фруктах, в большом количестве — в цитрусовых *) Участвует в цикле трикарбоновых кислот — основном процессе дыхания клетки, поэтому в заметной концентрации содержится в организме всех животных и растениях
Mnemonic rule
укороченная японовая кислота с разросшимися ветками и висящим внизу по центру лимоном

β–лактам
) β-лактамное кольцо является частью структуры нескольких семейств антибиотиков, в частности пенициллинов, цефалоспоринов, карбапенемов и монобактамов. Эти антибиотики ингибируют процессы синтеза клеточной стенки бактерий, особенно грам-положительных. Бактерии синтезируют специальные энзимы, β-лактамазы, нацеленные на разрушение таких антибиотиков путём разрыва β-лактамного кольца. ) Буква «β» в названии означает, что при гидролизе таких лактамов, когда лактамное кольцо разрывается по наиболее неустойчивой связи, то есть между аминогруппой >NH и карбонилом >C=O, образуются β-аминокислоты, у которых аминогруппа находится на втором (β) от карбоксильной группы атоме углеродной цепочки (в отличие от большинства протеиногенных аминокислот, которые являются α-аминокислотами и несут аминогруппу на первом углеродном атоме цепочки)
Mnemonic rule

карбапенемы
*) Класс β-лактамных антибиотиков, с широким спектром действий, имеющие структуру, которая обусловливает их высокую устойчивость к β-лактамазам. Не устойчивы против нового вида β-лактамаз NDM1
Mnemonic rule
карба- (-СООН)-корень у двух ПЕНьков, поросших поганками-радикалами. Еще один корень - кислород у β-лактама

пенициллины
) Антимикробные препараты, относящиеся к классу β-лактамных антибиотиков
) Природным продуцентом пенициллинов являются грибы рода Penicillium
) Наиболее активный из природных пенициллинов — бензилпенициллин
) Пенициллины препятствуют синтезу пептидогликана, являющегося основным компонентом клеточной стенки бактерий, а именно подавляют транспептидазную реакцию синтеза компонентов клеточной стенки (например D-аланина). Блокирование синтеза пептидогликана приводит к гибели бактерии.
Mnemonic rule

бензилпенициллин
) Антибиотик, получаемый из плесневого гриба пеницилла - один из самых активных в фармакологическом плане пенициллинов ) Оказывает бактерицидное действие за счёт ферментативного ингибирования синтеза клеточной стенки микроорганизмов
Mnemonic rule

ампициллин
) Полусинтетический антибиотик, используемый для лечения различных инфекционных заболеваний дыхательных путей (пневмония, бронхопневмония, ангина), мочевыводящих путей, печени и желудочно-кишечного тракта ) По механизму действия аналогичен пенициллину - необратимый ингибитор транспептидазы, участвующей в синтезе пептидогликана клеточной стенки
Mnemonic rule
азотная АМПула с бензилпенициллином

амоксициллин
) Полусинтетический антибиотик широкого спектра действия группы пенициллинов. По своим фармакологическим свойствам близок к ампициллину, но, в отличие от него, обладает лучшей биодоступностью. ) Как и многие другие β-лактамные антибиотики, подвержен деградации β-лактамазами, продуцируемыми некоторыми бактериями, поэтому он часто применяется в комбинациях с клавулановой кислотой, выступающей ингибитором таких ферментов
Mnemonic rule

метициллин
) β-лактамный антибиотик пенициллинового ряда. В настоящее время больше не используется в медицине. ) Как и другие β-лактамные антибиотики, он предотвращает синтез клеточной стенки бактерий, ингибируя образование перекрестных связей между линейными молекулами пептидогликана — основного компонента стенки грам-положительных бактерий. Метициллин связывает и конкурентно ингибирует фермент транспептидазу, которая образует перекрестные связи при синтезе пептидогликана
Mnemonic rule
МЕТИт в транспептидазу растопыренными кислородными когте-щупальцами

сульбактам
*) Ингибитор β-лактамаз, с помощью которых микроорганизмы борются с β-лактамными антибиотиками, поэтому его применяют одновременно с ними (чаще - с ампициллином)
Mnemonic rule
вынюхивает β-лактамазу кислородными усиками

антрацен
) Получают из каменноугольной смолы. Обнаружен в межзвёздной среде. ) По химическим свойствам сходен с нафталином, но легче вступает в реакции присоединения и окисления ) Может фотодимеризоваться под действием УФ излучения ) Электрофильное замещение идёт в положения «9» и «10» центрального кольца, и антрацен легко окисляется, давая антрахинон *) Применяется как сырьё для получения антрахинона, многочисленных красителей
Mnemonic rule
три куска АНТРАЦита

декалин
) Бесцветная, сильно пахнущая жидкость ) Хороший растворитель многих органических соединений и полимеров
Mnemonic rule
ДЕароматизировали нафтАЛИН и получили декалин

1,4–нафтохинон
) Производное нафталина, хинон ) Используется для синтеза антрахинона и различных красителей *) Ингибитор коррозии. Используется в качестве катализатора при производстве синтетического каучука и полиакрилатов
Mnemonic rule

порфин
*) Природный пигмент, ароматический макроцикл
*) Темно–красные кристаллы
*) Ядро порфина содержится в большом количестве природных и синтетических соединений, называемых порфинами. Если порфины содержат углеводородные заместители в пиррольных или пирролениновых циклах, то их называют порфиринами
*) Синтез порфина в природе происходит в незрелых красных кровяных тельцах и этиолированных листьях растений при воздействии на них света. В процессе участвуют уксусная кислота и глицин, из которых образуются пиррольные кольца
Mnemonic rule

холин
) В организме из холина ферментом холин-ацетилтрансферазой синтезируется важнейший нейромедиатор-передатчик нервного импульса — ацетилхолин ) Холин является важным веществом для нервной системы, улучшает память ) Является сильным основанием (т.е. азот в составе холина очень легко отдает свою неподеленную пару электронов для образования ковалентной связи по донорно-акцепторному механизму) ) При дегидратации холина образуется высокотоксичный нейрин. Наличие нейрина в нервных или других тканях указывает на патофизиологические эффекты, связанные с дегенерацией и деструкцией данных тканей (некролитические процессы, гниение). ) Входит в состав фосфолипидов (например, лецитина, сфингомиелина) ) При биосинтезе холина донором метильных групп является S-аденозил-метионин ) Влияет на углеводный обмен, регулируя уровень инсулина в организме ) Является гепатопротектором и липотропным средством. В комплексе с лецитином способствует транспорту и обмену жиров в печени.
Mnemonic rule

ацетилхолин
) Нейромедиатор, осуществляющий нервно-мышечную передачу, а также основной нейромедиатор в парасимпатической нервной системе. Физиологическое действие ацетилхолина обусловлено стимуляцией им терминальных мембран м- и н-холинорецепторов. ) Играет важнейшую роль в таких процессах, как память и обучение ) Производное холина: под действием холин-ацетилтрансферазы происходит перенос ацетильной группы от ацетил-КоА на молекулу холина с образованием кофермента-А и ацетилхолина ) Если в нейроне есть холин-ацетилтрансфераза, такой нейрон называется холинергическим *) В организме очень быстро разрушается ферментом ацетилхолинэстеразой с образованием холина и уксусной кислоты
Mnemonic rule

нейрин
*) Высокотоксичное вещество, которое образуется из продуктов гниения белковых тел. Содержится в трупном яде, гниющем мясе. Образуется при процессах распада или нагревании холина, от которого отщепляется молекула воды (происходит дегидратация холина).
Mnemonic rule

хлороформ
) В конце XIX и начале XX вв он использовался как анестетик при проведении хирургических операций, но затем был заменён более безопасными веществами ) Используется для производства хлордифторметана — фреона (хладона-22) *) Используется как растворитель в фармакологической промышленности, а также для производства красителей и пестицидов
Mnemonic rule
ХЛОР ФОРМирует пирамиду с СН на вершине

сафрол
) Органическое вещество класса фенилпропаноидов
) Является прекурсором экстази
Mnemonic rule
драгоценная мышка с сапфировыми глазами

гелиотропин
) Может быть получен как из растительного сырья (ваниль, гелиотроп, сирень), так и синтетическим способом из сафрола ) Используется для изготовления косметических и парфюмерных средств
Mnemonic rule
солнце (ГЕЛИОс) мышке обожгло хвост - он укоротился и окислился кислородом

нафталин
) Твердое кристаллическое вещество с характерным запахом. В воде не растворяется, но хорошо растворим в бензоле, эфире, спирте, хлороформе
) По химическим свойствам сходен с бензолом, но ещё легче вступает в реакции
) Важное сырьё химической промышленности
) Длительное воздействие нафталина может вызвать повреждение или разрушение эритроцитов, печени, поджелудочной железы
*) В человеческом организме чаще всего концентрируется в жировой ткани, где может накапливаться до тех пор, пока жировая ткань не начнёт сжигаться, после чего он попадает в кровь, и наступает отравление организма (кровотечения, возникновение опухолей и т. д.)
Mnemonic rule
нафталиновая неваляшка

берберин
) Этот алкалоид содержится в различных частях многих растений, принадлежащих к разнообразнейшим семействам, так что может считаться одним из очень распространенных в растительном царстве
) Использовался в Китае в качестве лекарства при желудочно-кишечных инфекциях с глубокой древности - упоминался в Шэнь-нун еще в 3000 г. до н.э.
) Обладает геропротекторными свойствами, защищает организм от сердечно-сосудистых болезней, диабета и возрастной потери способности к обучению. Он продлил среднюю продолжительность жизни самок мух-дрозофил на 27%, а максимальную - на 78%. Он увеличил продолжительность жизни естественно состарившихся мышей на 17%.
) Проявляет противораковое действие при лейкемии, меланоме, глиобластоме, гепатоцеллюлярной карциноме, раке толстой кишки и множественной миеломе, поэтому может служить в качестве одного из средств профилактики онкогенеза
Mnemonic rule

стеран
) Его различные замещённые производные объединяются под общим названием стероидов.
) Ядро стерана лежит в основе строения молекул многих биологически и физиологически активных веществ: холестерин, желчные кислоты, стероидные гормоны и т.д.
Mnemonic rule
вся ароматичность в нем СТЕРАется
.png?t=1594556737)
холестерол (холестерин)
) Природный полициклический липофильный спирт, содержащийся в клеточных мембранах всех животных, однако его нет в клеточных мембранах растений, грибов, архей и бактерий ) Легко синтезируется в организме из жиров, глюкозы, аминокислот ) Обеспечивает устойчивость клеточных мембран в широком интервале температур. Он необходим для выработки витамина D, выработки надпочечниками различных стероидных гормонов (включая кортизол, альдостерон, половые гормоны: эстрогены, прогестерон, тестостерон), жёлчных кислот. ) К периферийным тканям холестерин транспортируется хиломикроном, ЛПОНП и ЛПНП. К печени (из которой затем холестерин удаляется из организма) его транспортируют аполипротеины группы ЛПВП
Mnemonic rule

прегненолон
*) Стероидный гормон, первый метаболит в цепочке стероидогенеза
*) Образуется из холестерина и служит прекурсором 17–гидроксипрегненолону и прогестерону, которые, в свою очередь, преобразуются в другие стероиды
*) Помимо участия в гормональной системе, прегненолон воздействует на процессы центральной нервной системы, являясь нейростероидом
*) У мужчин и женщин прегненолон, произведенный в надпочечниках, имеет высокую вероятность (но не 100%) преобразования в ДГЭА (DHЕA, дегидроэпиандростерон), или кортизол.
*) У мужчин прегненолон, произведенный в яичках, имеет высокую вероятность превращения в тестостерон, а прегненолон, образованный в женских яичниках, скорее будет преобразован в эстроген.
Mnemonic rule
наверху у холестерина появился ноль
нулевой в цепочке превращений

прогестерон
*) Эндогенный стероид и прогестогенный половой гормон, оказывающий влияние на менструальный цикл, беременность и эмбриональное развитие у человека и других видов. Он принадлежит к группе стероидных гормонов, называющихся прогестогенами, и является главным прогестогеном в организме
*) Ключевое метаболическое промежуточное звено в производстве других эндогенных стероидов, включая половые гормоны и кортикостероиды, и играет ключевую роль в функционировании мозга как нейростероид
Mnemonic rule

гидроксипрогестерон
*) 17α-гидроксипрогестерон - второстепенный прогестоген, производимый жёлтым телом яичников и корой надпочечников. По химическому строению является стероидным гормоном. От прогестерона отличается наличием дополнительного гидроксильного радикала у 17-го атома углерода в стероидном скелете молекулы.
*) Очень большие количества гидроксипрогестерона производит плацента плода во время беременности, причём количество производимого плацентой гидроксипрогестерона прогрессивно увеличивается от I к III триместру беременности и резко падает за несколько дней до родов.
Mnemonic rule

гидроксипрегненолон
*) 17α-гидроксипрегненолон - стероид, один из промежуточных участников стероидогенеза. Образуется из прегненолона с помощью фермента 17-альфа-гидроксилазы.
*) В свою очередь, преобразуется в дегидроэпиандростерон (и далее - в другие андрогены: тестостерон, эстрадиол и др.), а ферментом 3-бета-гидроксистероиддегидрогеназа — в 17-гидроксипрогестерон
Mnemonic rule
1.png?t=1653039895)
дегидроэпиандростерон (ДГЭА)
*) Полифункциональный стероидный гормон. Оказывает действие на андрогеновые рецепторы
*) Синтезируется в организме (в надпочечниках, в частности, в слое сетчатой коры надпочечников) из холестерина через прегненолон
*) Далее, подвергаясь действию других ферментов стероидогенного пути, он преобразуется в андростендиол и андростендион, а также в дегидроэпиандростерон–сульфат.
*) ДГЭА химически похож на тестостерон и эстрадиол и может быть легко превращен в них
Mnemonic rule

дезоксикортикостерон (дезоксикортон)
*) Второстепенный минералокортикостероидный гормон коры надпочечников у человека. У некоторых видов животных он является основным минералокортикоидом, но у человека он малоактивен, и основным минералокортикоидом является альдостерон.
*) Дезоксикортикостерон, в отличие и от альдостерона, и от глюкокортикоидов, повышает силу и выносливость скелетных мышц. Механизм этого действия малоизучен.
*) Синтетический дезоксикортикостерон в виде солей (ацетата, триметилацетата или энантата) применяется в качестве лекарства, обладающего выраженным минералокортикоидным эффектом
Mnemonic rule

кортикостерон
*) Малозначимый и сравнительно малоактивный минералкортикоидный гормон коры надпочечников у человека
*) По сравнению с кортизолом обладает ощутимой, хотя и гораздо более слабой, чем у альдостерона, минералокортикоидной активностью
*) У крысы кортикостерон является основным и наиболее активным для неё глюкокортикоидом, подобно кортизолу у человека
Mnemonic rule

11–деоксикортизол
) Стероид, непосредственный предшественник кортизола в каскаде стероидогенеза. Этот гормон - минералокортикоид, оказывает существенное влияние на водно-солевой обмен. ) Гормон, которому эволюционно 500 млн лет *) Образуется из 17-гидроксипрогестерона с помощью фермента 21-гидроксилазы. В свою очередь в кортизол преобразуется при участии 11-β-гидроксилазы.
Mnemonic rule
1.png?t=1652625032)
кортизол (гидрокортизон)
*) Биологически активный глюкокортикоидный гормон стероидной природы, т.е. в своей структуре имеет стерановое ядро
*) Секретируется наружным слоем (корой) надпочечников под воздействием адренокортикотропного гормона (АКТГ — гормон гипофиза). Секреция АКТГ, в свою очередь, стимулируется соответствующим рилизинг–фактором гипоталамуса (КРГ — кортикотропин–рилизинг–гормон, или кортиколиберин).
*) Является регулятором углеводного обмена организма, принимает участие в развитии стрессовых реакций. Для кортизола характерен суточный ритм секреции: минимальная концентрация отмечается в вечерние, а максимальная – в утренние часы.
*) Выделившийся в кровь кортизол достигает клеток–мишеней (в частности, клеток печени). Благодаря своей липофильной природе легко проникает через клеточную мембрану в цитоплазму и ядро, где связывается со специфическими рецепторами. Гормон–рецепторный комплекс является фактором транскрипции — он активирует транскрипцию определённых генов. В результате синтез глюкозы в гепатоцитах усиливается, тогда как в мышцах снижается её распад. В клетках печени глюкоза запасается в виде гликогена. Таким образом, эффект кортизола состоит в сохранении энергетических ресурсов организма. По принципу отрицательной обратной связи повышение уровня кортизола в крови снижает секрецию кортиколиберина (а значит, и АКТГ).
Mnemonic rule

кортизон
*) Второй по значимости после кортизола глюкокортикоидный гормон коры надпочечников у человека
*) К функциям относится стимуляция синтеза углеводов из белков, угнетение лимфоидных органов, изменение метаболизма и повышение устойчивости организма к стрессу
Mnemonic rule

альдостерон
*) Основной минералокортикостероидный гормон коры надпочечников у человека
*) Вызывает усиление канальцевой реабсорбции катионов натрия, анионов хлора и одновременно усиливают канальцевую экскрецию катионов калия и повышает способность тканей удерживать воду, что способствует переходу жидкости и натрия из сосудистого русла в ткани
*) Образуется в клубочковой зоне коры надпочечников и является единственным поступающим в кровь минералокортикоидом человека
*) Регуляция синтеза и секреции альдостерона осуществляется преимущественно ангиотензином-II
*) Механизм действия альдостерона, как и всех стероидных гормонов, состоит в прямом влиянии на генетический аппарат ядра клеток со стимуляцией синтеза соответствующих РНК, активации синтеза транспортирующих катионы белков и ферментов, а также повышении проницаемости мембран для аминокислот
*) Одними из главных органов-мишеней гормона являются почки, где альдостерон вызывает усиленную реабсорбцию Na+ в дистальных канальцах с его задержкой в организме и повышении экскреции K+ с мочой. Под влиянием альдостерона происходит задержка в организме хлоридов и воды, усиленное выделение H+ и аммония, увеличивается объем циркулирующей крови, формируется сдвиг кислотно-щелочного состояния в сторону алкалоза
*) Конечным результатом действия минералокортикоидов является увеличение объёма циркулирующей крови и повышение системного артериального давления
Mnemonic rule

ланостерол
*) Тетрациклический тритерпеноид, предшественник природных стероидов грибов и животных
*) Образуется из оксида сквалена с помощью фермента циклазы
*) Может предотвратить и даже обратить вспять катаракту
Mnemonic rule
лань с рожками

глюкоза (глюкопираноза)
) Один из самых распространённых источников энергии в живых организмах
) Встречается в соке многих фруктов и ягод
) Глюкозное звено входит в состав полисахаридов (целлюлоза, крахмал, гликоген) и ряда дисахаридов (мальтозы, лактозы и сахарозы), которые, например, в пищеварительном тракте быстро расщепляются на глюкозу и фруктозу
) Единственным сырьём для производства глюкозы является крахмал, а основным источником крахмала является кукуруза (70% производимой в мире кукурузы идёт на производство глюкозы)
Mnemonic rule
.png?t=1591734583)
кофермент Q (убихинон)
) Также известен как кофермент Q10, убихинон
) Убихиноны — это жирорастворимые коферменты, представленные преимущественно в митохондриях эукариотических клеток. Убихинон является компонентом цепи переноса электронов и принимает участие в окислительном фосфорилировании. Максимальное содержание убихинона в органах с наибольшими энергетическими потребностями, например, в сердце и печени.
) По химической природе кофермент Q имеет сходство в строении молекулы с витаминами Е и К
) В организме человека кофермент Q синтезируется из мевалоновой кислоты и производных тирозина и фенилаланина
Mnemonic rule

пластохинон
) Пластохинон - это хинон, вовлечённый в цепь переноса электронов световой фазы фотосинтеза. Во время этой фазы пластохинон восстанавливается (принимает два протона из стромы хлоропласта, и два электрона из фотосистемы II), формируя пластохинол. Он транспортирует протоны в полость дисков тилакоида, в то время как электроны передаются по электрон-транспортной цепи к белковому комплексу цитохром b6f.
) Некоторые производные вещества были разработаны с целью проникать сквозь клеточную мембрану, например SkQ1, SkQR1
Mnemonic rule

путресцин
) Иначе - 1,4 — диаминобутан ) Относится к группе биогенных аминов ) Образуется при декарбоксилировании бактериями аминокислоты орнитина. За реакцию отвечает фермент орнитиндекарбоксилаза, коферментом является пиридоксальфосфат. ) Используется как сырьё для получения полиамида-4,6 (в частности, нейлона-4,6) *) В тканях организма путресцин — исходное соединение для синтеза двух физиологически активных полиаминов — спермидина и спермина. Эти вещества наряду с путресцином, кадаверином и другими диаминами входят в состав рибосом, участвуя в поддержании их структуры.
Mnemonic rule
путину один шаг до кадаверина

кадаверин
) Имеет очень сильный трупный запах ) Содержится в продуктах гнилостного распада белков; образуется из лизина при его ферментативном декарбоксилировании. Ранее кадаверин относили к трупным ядам (птомаинам), однако ядовитость кадаверина относительно невелика. Имеется в свободной форме как в разлагающейся биомассе животных и растительных организмов, так и в живых растениях
Mnemonic rule
) азотная вонючка, лизин без карбоксильной группы; ) если от лизина откусить карбоксильную группу, он завоняет и не захочется облизывать

иприт
) Боевое отравляющее вещество кожно-нарывного действия, по механизму действия — яд цитотоксического действия. Антидот отсутствует. ) Впервые был применён Германией в 1917 г против англо-французских войск, которые были обстреляны минами, содержавшими его, у бельгийского города Ипра (откуда и произошло его название). Кроме того, он применялся в итало-эфиопскую войну 1935-1936 гг ) Бесцветная жидкость с запахом чеснока или горчицы ) В организме человека он вступает в реакцию алкилирования с NH-группами нуклеотидов в составе ДНК. Это способствует образованию сшивок между цепями ДНК, из-за чего данный участок хромосомы становится неработоспособным
Mnemonic rule
ацкая сера, еще И ПРет на хлорных крыльях

ДДТ
*) Широко распространённое бытовое название ДДТ — «дуст»
*) Инсектицид, применяемый против комаров, мух, тараканов, моли, колорадского жука, тли. Одно из немногих эффективных средств против саранчи.
*) Применяется в целях профилактики малярии. В Индии благодаря ему в 1965 г. ни один человек не умер от малярии, тогда как в 1948 погибло 3 млн. Аналогичные результаты были получены в Европе.
*) ДДТ стал первым надежным средством со стабильным действием против вредителей на зерновых, кукурузе, овощных, технических и бахчевых культурах, в садах и теплицах, и за открытие его Пауль Мюллер в 1948 г получил Нобелевскую премию по медицине – единственный случай в истории, когда ученый получил эту премию за открытие пестицида. Применение ДДТ в сельском хозяйстве значительно повысило урожаи и было ключевым фактором в развитии так называемой Зелёной революции.
*) Запрещён для применения во многих странах из–за того, что способен накапливаться в организме животных, человека
*) ДДТ вызывает смерть насекомого при внешнем контакте, поражая его нервную систему, при этом в небольших концентрациях для теплокровных животных он безвреден. При попадании в организм человека слишком больших доз ДДТ, возникает отравление.
Mnemonic rule
трихлорные грабли и две мухобойки с хлорной ручкой

сульфаниловая кислота
*) Получают из анилина
*) Её амиды применяются в медицине для изготовления сульфаниламидных лекарств
Mnemonic rule
сера чтобы плавать в НИЛе выставила два кислорода–перископа

таурин
*) Сульфокислота, образующаяся в организме из цистеина
*) Его часто называют серосодержащей аминокислотой, хотя в нем нет карбоксильной группы
*) В небольших количествах присутствует в тканях и жёлчи животных и человека
*) Образует в печени конъюгаты с жёлчными кислотами (например, с таурохолевой и тауродезоксихолевой). Эти конъюгаты входят в состав жёлчи, и, будучи поверхностно–активными веществами, способствуют эмульгированию жиров в кишечнике.
*) В мозге таурин играет роль нейромедиаторной аминокислоты, тормозящей синаптическую передачу, обладает противосудорожной активностью, оказывает также кардиотропное действие
*) Способствует улучшению энергетических процессов, стимулирует заживляющие процессы при дистрофических заболеваниях и процессах, сопровождающихся значительным нарушением метаболизма тканей глаза
*) Обладает гепатопротекторным действием
*) Используется как одна из составляющих БАД к пищевым продуктам (соки, энергетические напитки)
Mnemonic rule
кит с ТАУ кита выпустил кислородный фонтан

гипотаурин
*) Гипотаурин – сульфиновая кислота, являющаяся промежуточным соединением в биосинтезе таурина
*) Как и таурин, он является эндогенным нейротрансмиттером, воздействующим на глициновые рецепторы
*) У млекопитающих, биосинтез гипотаурина из цистеина происходит в поджелудочной железе
Mnemonic rule

кумарин
) Присутствует во многих растениях и вызывает сладкий запах свежескошенной травы или сена ) Немного менее реакционноспособен, чем бензол ) В виде гликозидов содержится во многих растениях, среди них — представители семейства Астровые (гербера, ромашка, тысячелистник), а также донник, зубровка, корица ) Физиологическое действие самого кумарина на человека является очень слабым, но у производных кумарина физиологическое действие выражено в большей степени. Например, производные кумарин-3-карбоновых кислот является снотворными средствами. Кумарин и его производные являются антагонистами витамина К, которые блокируют в печени синтез витамин-К-зависимых факторов свертывания крови, и за счёт этого кумарин используется в качестве антикоагулянтов непрямого действия.
Mnemonic rule
КоМАРы в свежескошенной траве

пиридин
) Бесцветная жидкость с резким неприятным запахом; смешивается с водой и органическими растворителями ) Основным источником для получения пиридина является каменноугольная смола ) Обладает явными ароматическими свойствами, однако наличие в кольце сопряжения атома азота приводит к серьёзному перераспределению электронной плотности, что приводит к сильному снижению активности пиридина в реакциях электрофильного ароматического замещения по сравнению с бензолом. В таких реакциях реагируют преимущественно мета-положения кольца. ) Применяют в синтезе красителей, лекарств, инсектицидов, как растворитель многих органических и некоторых неорганических веществ, для денатурирования спирта. Токсичен.
Mnemonic rule
азот впириди

пиперидин
) Шестичленный насыщенный цикл с одним атомом азота ) Бесцветная жидкость с аммиачным запахом ) Входит в виде структурного фрагмента в фармацевтические препараты и алкалоиды ) Является прекурсором некоторых наркотических средств
Mnemonic rule
пипец ароматичности пиридина

кониин
*) Иначе – α–пропилпиперидин. Бесцветная жидкость с резким запахом.
*) Сильный яд нервно–паралитического действия. Сок болиголова применяли в древности для казни. Так, по преданию, его дали выпить Сократу.
*) Основной алкалоид зонтичных из рода болиголов и насекомоядных растений из рода росянка (наряду с другими алкалоидами: N–метилкониин, коницеин, конгидрин и др.). Образуется в клетках растений из остатков уксусной кислоты и лизина.
*) Быстро всасывается в кровь из пищеварительного тракта. После всасывания вызывает паралич окончаний чувствительных и двигательных нервов, поражает ЦНС, сначала возбуждая, а затем парализуя её. После приема кониина усиливается слюнотечение, может появиться тошнота, рвота, понос, головокружение, расстройство зрения. Весьма характерен «восходящий» паралич, сопровождающийся полной потерей чувствительности и подвижности охваченных им частей тела. Он начинается со ступней и далее распространяется вверх на туловище, пока не достигнет диафрагмы, вследствие паралича которой и наступает смерть от удушья.
Mnemonic rule
не просто пиперидин (пипец), а еще и с конским хвостом

конгидрин
*) Ядовитый алкалоид, обнаруживаемый в небольших количествах в цветках болиголова пятнистого
*) Для человека конгидрин менее токсичен, чем кониин
Mnemonic rule

пиримидин
) Проявляет свойства слабого двукислотного основания, так как атомы азота могут присоединять протоны за счет донорно-акцепторной связи, приобретая при этом положительный заряд ) Производные пиримидина широко распространены в живой природе, где участвуют во многих важных биологических процессах. В частности, такие производные как цитозин, тимин, урацил входят в состав нуклеотидов, являющихся структурными единицами нуклеиновых кислот; пиримидиновое ядро входит в состав некоторых витаминов группы B, в частности B1, коферментов и антибиотиков
Mnemonic rule

пиперазин
) Применяется как ингибитор коррозии, ускоритель полимеризации хлоропрена, а также сополимер для получения высокоплавких полиамидов ) Пиперазин и его соли используются в медицине и ветеринарии в качестве средства против гельминтов *) Пиперазиновый цикл является структурным фрагментом ряда лекарств: анальгетиков, спазмолитиков, психотропных веществ (френолон, трифтазин) и некоторых противоопухолевых препаратов (дипин, проспидин, спиразидин)
Mnemonic rule
пипец ароматичности пиразина

никотиновая кислота
) Ниацин, витамин PP, витамин B3 — витамин, участвующий во многих окислительно-восстановительных реакциях, образовании ферментов и обмене липидов и углеводов в живых клетках, лекарств ) Гиповитаминоз РР приводит к пеллагре — заболеванию, симптомами которого являются дерматит, диарея, деменция ) В организме никотиновая кислота превращается в никотинамид, который входит в состав коферментов дегидрогеназ - (НАД и НАДФ), переносящих водород, участвует в метаболизме жиров, белков, аминокислот, пуринов, тканевом дыхании, углеводов - гликолизе и гликогенолизе, процессах биосинтеза. ) Нормализует концентрацию липопротеинов крови; в больших дозах снижает концентрацию общего холестерина, ЛПНП, уменьшает индекс холестерин/фосфолипиды, повышает содержание ЛПВП, обладающих антиатерогенным эффектом
Mnemonic rule
бензойная рыбка с Nикотином в зубах

циклобутадиен
) Четырёхчленный цикл с чередующимися двойными связями ) В свободном состоянии циклобутадиен крайне неустойчив и даже при низких температурах очень быстро димеризуется
Mnemonic rule

циклобутен
) Используется в химической промышленности в качестве мономера для синтеза некоторых полимеров и очень полезен в качестве реагента для большого количества органических синтезов ) Может быть получен путем фотохимической циклизации 1,3-бутадиена
Mnemonic rule

триазины
) 1,3,5-триазины также называют симм-триазинами (симметричными триазинами), 1,2,4-триазины - асимм-триазинами (несимметричными триазинами), а 1,2,3-триазины - виц-триазинами (вицинальными триазинами). Наиболее хорошо изучены симм-триазины. ) Некоторые аминопроизводные симм-триазинов используются в качестве гербицидов
Mnemonic rule

сфингозин
) Составляет основу сфинголипидов (например, сфингомиелина), класса фосфолипидов клеточных мембран ) Синтезируется из пальмитоил-CoA и серина ферментом серин-пальмитоилтрансферазой, а также образуется при деградации сфинголипидов в лизосомах клетки
Mnemonic rule
лежит как СФИНкс. Удобно для запоминания, что в нем находится 18 углеродов, как и в самых распространенных жирных кислотах. Ненасыщенный, но при этом сохраняет линейную форму Чтобы лучше запомнить его структуру, заметим, что все «неоднородности» имеют место в самом начале молекулы – в области первых пяти углеродов: к первому углероду присоединен гидроксил, ко второму – аминогруппа, к третьему – снова гидроксил, и четвертый и пятый соединены двойной связью

церамиды
) Подкласс липидных молекул, самый простой тип сфинголипидов, состоящих из сфингозина и жирной кислоты. В аминогруппе сфингозина замещаем водород остатком жирной кислоты, и получаем один из церамидов. ) Являются важным липидным компонентом клеточной мембраны ) Участвует в качестве молекулы-предшественника в синтезе сфингомиелина ) Играют роль в клетке не только как элемент мембраны, но и как сигнальная молекула *) Участвуют в таких клеточных процессах, как клеточная дифференцировка, клеточная пролиферация и апоптоз
Mnemonic rule
«где сфингозин, там и церамиды; где сфинкс, там и пирамиды»

дубильная кислота
) Одна из форм танинов. Синтезируется большим количеством растений. Также её называют галлодубильной кислотой, таниновой кислотой (tannic acid) и просто танином ) Используется в производстве спиртных напитков, где ускоряет образование мути
Mnemonic rule

спермин
*) Участвует в клеточном метаболизме, найден во всех эукариотических клетках, в живых организмах образуется из спермидина, является фактором роста у некоторых бактерий
*) Ассоциируется с нуклеиновыми кислотами и предположительно участвует в стабилизации их спиральной структуры, в частности, у вирусов
Mnemonic rule
.png?t=1597045698)
β–D–фруктопираноза (фруктоза)
*) Изомер глюкозы
*) Самый сладкий из природных сахаров, поэтому широко используется как подсластитель
*) Получают в основном из кукурузного крахмала
*) В отличие от глюкозы и других альдоз, фруктоза неустойчива как в щелочных, так и кислых растворах
*) Всасывание фруктозы происходит в тонкой кишке под действием белка–переносчика Glut5. В кровь фруктоза попадает через воротную вену, а затем переносится в печень, где преимущественно и накапливается, превращаясь в глюкозу. При метаболизме фруктоза даёт преимущественно глюкозу, гликоген и лактат.
*) Влияние фруктозы на уровень глюкозы в крови очень маленькое. Она слабо стимулирует секрецию инсулина и может проникать в клетки без его участия.
Mnemonic rule

хинин
*) Основной алкалоид коры хинного дерева с сильным горьким вкусом, обладающий жаропонижающим и обезболивающим свойствами, а также выраженным действием против малярийных плазмодиев
*) Часто вызывает побочные явления: шум в ушах, головокружение, рвоту, учащённое сердцебиение, дрожание рук, бессонницу. Смертельная доза — около 10 г.
*) При приёме внутрь увеличивает секрецию желудочного сока и стимулирует аппетит
*) Снижает возбудимость ЦНС и оказывает умеренное успокаивающее действие
*) Используется в тониках, например в Schweppes Bitter Lemon
Mnemonic rule
напившийся крови комар с подробно прорисованным ближним крылом

хлорохин
*) Лекарство группы производных 4-аминохинолина. Тормозит синтез нуклеиновых кислот в клетках и обладает умеренным иммуносупрессивным, специфическим и неспецифическим противовоспалительным действием. Вызывает гибель эритроцитарных форм некоторых видов плазмодиев. Имеет серьезные побочные последствия.
Mnemonic rule
скорпион-путресцин вонзил хвост в дохнущего комара

инозитол
) Шестиатомный спирт циклогексана. Более точное название — мио-инозитол. Несмотря на сходную с сахаридами брутто-формулу Cx(H2O)y, инозитол по химической природе не является углеводом, он практически безвкусный, слегка сладкий. ) Карбоциклический сахар, который содержится в большом количестве в мозге и других тканях млекопитающих, опосредует передачу клеточного сигнала в ответ на различные гормоны, нейротрансмиттеры и факторы роста, участвует в осморегуляции. ) Его называли «витамином В8», однако было показано, что около 3/4 его суточной потребности вырабатывается самим организмом, поэтому его относят к витаминоподобным веществам. Нет данных о том, что его недостаток в пище может вызывать болезненные проявления. ) Синтезируется из глюкозы в тканях и органах, например в сердце, печени, почках. С кровью он попадает во все клетки, причем в особо высокой концентрации — в клетки мозга, где накапливается в защитной мембране. *) Свободный инозитол содержится также в крови, и из этого резерва его получают те клетки, которые не могут сами его производить. Хрусталик, задняя стенка глаза и слезная жидкость содержат особенно много инозитола
Mnemonic rule

кардиолипин
*) Фосфолипид, который является важным компонентом внутренней мембраны митохондрий, липидный состав которой включает около 20% кардиолипина. Он необходим для функционирования многочисленных ферментов, участвующих в энергетическом обмене. Кардиолипин также встречается в мембранах бактерий.
*) В биохимической литературе для кардиолипина используют сокращение «CL»
*) Структурно это дифосфатидилглицерол: два фосфатидилглицерола соединены с глицеролом, формируя димерную структуру, так что кардиолипин имеет 4 хвоста жирных кислот и 2 остатка ортофосфорной кислоты
*) У дрожжей, растений и животных процесс синтеза кардиолипина протекает в митохондриях
Mnemonic rule

аспарагиновая кислота
) Протеиногенная аминокислота, встречается во всех организмах в свободном виде и в составе белков ) Выполняет роль нейромедиатора в центральной нервной системе ) Играет важную роль в обмене азотистых веществ ) Участвует в образовании пиримидиновых оснований и мочевины *) Аспарагиновая кислота и аспарагин являются критически важными для роста и размножения лейкозных клеток при лимфолейкозе. Фермент микробного происхождения L–аспарагиназа, нарушающий превращение аспарагиновой кислоты в аспарагин и наоборот, оказывает сильное специфическое цитостатическое действие при этих видах лейкозов
Mnemonic rule
янтарная бабочка села на аспарагус и получила аминогруппу

ретиноевая кислота
Метаболит витамина A1 (ретинола). Опосредует функции витамина A1, необходимые для роста и развития. Ретиноевая кислота необходима для хордовых животных от рыб до человека. В ходе раннего эмбрионального развития ретиноевая кислота образуется в особом регионе эмбриона и участвует в определении позиции эмбриона по передне-задней оси, действуя как межклеточная сигнальная молекула, направляющая развитие задней части эмбриона. Ретиноевая кислота действует на Hox-гены, которые отвечают за детерминацию головного и хвостового отделов эмбриона на ранних стадиях развития
Mnemonic rule

эргостерол
*) компонент клеточных мембран грибов и простейших, выполняет ту же роль, что холестерол у многоклеточных животных
*) в метаболизме человека – провитамин для витамина D2. Воздействие ультрафиолета превращает эргостерол в D2
Mnemonic rule
у грибов всё посложнее, чем у животных и растений. а "эрго" - потому что Ленин гриб

треонин
*) L–треонин вместе с 19 другими протеиногенными аминокислотами участвует в образовании природных белков. Для человека треонин является незаменимой аминокислотой.
Mnemonic rule
третья аминокислота с -ОН группой

арахидоновая кислота
*) омега-6-ненасыщенная жирная кислота. 20 атомов углерода, 4 двойные связи
*) у человека может синтезироваться из незаменимой омега-6-ненасыщенной линолевой кислоты
*) Метаболиты арахидоновой кислоты являются эндогенными лигандами каннабиноидных рецепторов. Наиболее важные из них — продукты неокислительного метаболизма арахидоновой кислоты, арахидонилэтаноламид (анандамид) и 2-арахидонилглицерин (2-АГ) Оба соединения выполняют функции нейромодулятора и нейромедиатора и являются эндогенными каннабиноидами.
*) Эффектор фосфолипаза А2 высвобождает арахидоновую кислоту из мембранных липидов. Она является предшественником простагландинов, лейкотриенов и тромбоксанов - сигнальных молекул.
Mnemonic rule

андростенон
*) подтверждённый феромон для свиней, неподтверждённый - для человека
*) There are two different genotypes that allow an individual to smell androstenone. The first genotype, which consists of two fully functional copies of the gene, is the RT/RT allele, and the second is the RT/WM allele. The OR7D4 receptor has two non-synonymous single nucleotide polymorphisms, which cause the gene to have two amino acid substitutions, which in turn cause the receptor to act differently. Those in possession of the two proper genes, (RT/RT) for OR7D4 tend to describe the odor for the steroid as the odor of stale urine. Those with only one gene (RT/WM) typically described the odor as weak or were not able to detect it. They can also find the smell 'pleasant', 'sweet' or 'similar to vanilla'.
Mnemonic rule

холекальциферол
Витамин D3 — органическое соединение, жирорастворимый витамин. Образуется в коже под действием УФ-лучей из 7-дигидрохолестерина.
Холекальциферол сам по себе неактивен. Он превращается в свою активную форму с помощью двух гидроксилирований: первого в печени с образованием 25-гидроксихолекальциферола (кальцидидиол, витамин D-25-OH). Второе гидроксилирование происходит главным образом в почках, где происходит превращение 25-OH витамина D3 в 1,25-дигидроксихолекальциферол (кальцитриол, 1,25- (OH) 2витамин D3). Все эти метаболиты связаны в крови с витамин D - связывающим белком. Действие кальцитриола опосредуется рецептором витамина D, ядерным рецептором, который регулирует синтез сотен белков и присутствует практически в каждой клетке организма.
Mnemonic rule

аспарагин
*) Протеиногенная заменяемая аминокислота – амид аспарагиновой кислоты (Asx или B)
*) Аспарагин легко образует внутреннюю соль — бетаин – важный продукт в реакциях переметилирования, донор метильных групп
*) Так как в нём боковые ответвления в виде карбоксамидной группы могут образовывать водородные связи с пептидной цепью, аспарагиновые остатки часто находят в начале и конце пептидной цепи, что характерно как для альфа–спирали, так и для β–листов. Его роль может быть обозначена как «закупорка» водородных связей взаимодействием с концевыми группами, которые иначе могли бы связываться с основной полипептидной цепью
*) Находится в значительных количествах в животных (молоко, сыворотка, мясо, птица, яйца, рыба, морепродукты) и растительных (спаржа, помидор, бобовые, орехи, семена, соя, цельные зёрна) источниках
*) При биосинтезе прекурсором аспарагина является оксалоацетат
Mnemonic rule

прегабалин
*) гамма-аминокислота
*) Прегабалин – это мощный противотревожный препарат, а также он эффективен для лечения хронических болей при фибромиалгии (хроническая мышечно-скелетная боль) и травм спинного мозга. Используют его и как противоэпилептическое средство, уменьшающее количество судорог. При высоких дозах возникает эйфория, длящаяся с десяток часов, но к нему почти не возникает привыкания, так что риск злоупотребления этим препаратом низок.
Mnemonic rule

аргинин
) Протеиногенная аминокислота. Особенно высоко содержание аргинина в основных белках — гистонах и протаминах (до 85%). ) Чрезмерное потребление аргинина иммунными клетками, которые обычно защищают мозг, является причиной возникновения болезни Альцгеймера ) Аргинин является основной аминокислотой, несущей два основных центра: аминогруппу в α–положении и гуанидиновую в δ–положении ) Высокая основность аргинина и, соответственно, способность образовывать ионные связи с фосфатными группами ДНК, обуславливает образование нуклеопротеидов — комплексов гистон–ДНК хроматина и протамин–ДНК гетерохроматина сперматозоидов ) Частично заменимая аминокислота. У взрослого и здорового человека аргинин вырабатывается организмом в достаточном количестве, но у детей и подростков, у пожилых и больных людей уровень синтеза аргинина часто недостаточен ) Биосинтез аргинина осуществляется из цитруллина *) Является одним из ключевых метаболитов в процессах азотистого обмена (в частности, в орнитиновом цикле млекопитающих и рыб)
Mnemonic rule
везёт гуано в Аргентину

цитруллин
) α-аминокислота, предшественник аргинина ) Входит в состав белка клеток сердцевины волос млекопитающих и игл дикобраза, то есть является протеиногенной *) Является промежуточным веществом в орнитиновом цикле, необходимом для превращения аминогрупп и аммиака в мочевину
Mnemonic rule

никотин
*) Алкалоид пиридинового ряда, содержащийся в растениях семейства паслёновых, преимущественно в листьях и стеблях табака, махорки, в меньших количествах — в томатах, картофеле, баклажанах, зелёном перце
*) Его биосинтез происходит в корнях, а накапливание — в листьях
*) Ядовит для некоторых насекомых; поэтому раньше широко использовался как инсектицид
*) Физиология и биомеханизм воздействия на организм связаны с его взаимодействием с Н–холинорецепторами нервных синапсов и, как следствие, возбуждением некоторых отделов парасимпатической нервной системы
Mnemonic rule

пентан
*) Обладает наркотическим действием
*) Легколетучая подвижная жидкость с характерным запахом
*) Пентаны выделяют из конденсатов природного газа, из нефти, лёгких погонов сланцевой смолы
Mnemonic rule

изопентан
*) Иначе – 2–метилбутан
*) Сырьё для получения изопрена, который является мономером для синтеза синтетических каучуков
Mnemonic rule

неопентан
) Является одним из трёх изомеров пентана ) Содержится в малых количествах в нефти. Применяется как компонент высококачественного топлива
Mnemonic rule

1–пентанол
*) Термином "амиловые спирты" называются все изомеры 1–пентанола. Известны все 8 изомерных амиловых спиртов.
*) Амиловые спирты являются бесцветными жидкостями с неприятным запахом
*) Используются в качестве растворителей для различных масел, жиров, смол и восков
*) Применяются как экстрагенты солей урана и ниобия
*) Сложные эфиры амиловых спиртов являются растворителями, пластификаторами поливинилхлорида и ацетилцеллюлозы, в парфюмерии — душистыми веществами, в кулинарии — как фруктовые эссенции
Mnemonic rule

геосмин
*) Обуславливает запах земли
*) Продуцируется различными классами микроорганизмов, в том числе цианобактериями, актиномицетами
*) Сильный одорант, поэтому сильно влияет на органолептические свойства питьевой воды
*) Человеческое обоняние крайне чувствительно к геосмину, и открыт он был именно при изучении причин аромата леса после дождя
*) Интенсивность запаха геосмина НЕ зависит от его концентрации
*) Неприятный специфический запах озёрной мути у некоторых видов карповых и сомовых рыб обусловлен наличием геосмина, который накапливается в жировой и мускульной ткани
*) В кислой среде распадается, что объясняет широкое использование уксуса и лимона при кулинарной обработке пресноводной рыбы
Mnemonic rule

яблочная кислота
*) Соли и сложные эфиры яблочной кислоты называются малатами
*) Содержится в незрелых яблоках, винограде, рябине, барбарисе, малине, апельсине, мандарине, лимоне и др.
*) В растениях махорки и табака содержится в виде химического соединения с никотином
*) В цикле Кребса яблочная кислота образуется путём гидратации фумаровой кислоты и далее окисляется коферментом НАД+ в щавелевоуксусную кислоту
Mnemonic rule
крупное яблоко ОН свисает с чистой янтарной ветки
.png?t=1676137589)
5–гидрокситриптофан (5–HTP)
) Иначе - окситриптан ) Протеиногенная аминокислота ) Является прекурсором нейротрансмиттера серотонина ) Промежуточное вещество в метаболизме триптофана *) Антидепрессант, супрессант аппетита и средство, применяемое при бессоннице
Mnemonic rule

маннопираноза
) Упрощенно - манноза ) Отличается от глюкозы пространственным расположением водородной и гидроксильной групп у 2-го углеродного атома ) Хорошо растворима в воде, имеет сладкий вкус ) Практически не метаболизируется в организме человека ) Способность d-маннозы предотвращать адгезию патогенных бактерий (таких как Escherichia coli, Klebsiella, Proteus, Enterococcus, Streptococcus) к уротелию делает эту молекулу очень эффективной против бактериального цистита и предотвращает рецидивы. Она может быть альтернативой или дополнением к антибиотикотерапии. ) Манноза не только защищает организм от развития ожирения, но и обладает противораковыми свойствами, замедляя рост опухоли и усиливая эффективность действия химиотерапии
Mnemonic rule

9,10–дитиоантрацен
) Производное получаемого из каменноугольной смолы антрацена ) Первая молекула, способная «ходить» по прямой линии, фактически подражая двуногому передвижению человека - ногами служат тиогруппы: когда молекула нагревается на плоской медной поверхности, функциональные группы поочерёдно поднимаются и продвигают молекулу вперёд. Во время тестирования в Калифорнийском университете, молекула совершила около 10 000 шагов.
Mnemonic rule

фенантрен
*) В больших концентрациях ядовит
*) Растворы фенантрена флуоресцируют голубым цветом
*) Содержится в каменноугольной смоле вместе со своим линейным изомером антраценом
*) Производные фенантрена широко распространены в живой природе (стероиды, алкалоиды группы морфина)
*) Фенантрен, содержащийся в сигаретном дыме, может разрушать ДНК после попадания в кровь
Mnemonic rule
в форме фена из трёх колец

морфин
*) Главный алкалоид опиума, содержание которого в опиуме составляет в среднем 10%, что значительно больше, чем других алкалоидов
*) Морфин и другие морфиновые алкалоиды встречаются в растениях рода мак, стефания, синомениум, луносемянник. Реже встречаются в родах кротон, коккулюс, триклизия, окотея
*) Получают морфин практически только из застывшего млечного сока (опия), выделяющегося при надрезании незрелых коробочек опиумного мака. Содержание морфина в сыром опии достигает 20%, в среднем — 10%.
*) Хлористоводородную соль морфина — морфий — иногда упрощенно или ошибочно называют морфином
*) При внутривенном введении морфин интенсивно поглощается тканями, в течение 10 минут после внутривенного введения 96—98% морфина исчезает из системного кровотока
Mnemonic rule

изохинолин
*) Содержится в небольшом количестве в каменноугольном дёгте, откуда его выделяют вместе с хинолином. Изохинолин — более сильное основание, чем хинолин.
*) Изохинолиновое ядро входит в структуру ряда важных алкалоидов (папаверина, морфина, кодеина, курарина и др.)
Mnemonic rule
.png?t=1676367208)
хинолин (бензпиридин)
) Применяют как растворитель для серы, фосфора и др., для синтеза органических красителей ) Производные хинолина используют в медицине ) Встречается в составе каменноугольной смолы, из которой и добывается ) Опасен при попадании в глаза и приёме внутрь, ирритант, канцероген
Mnemonic rule

винилхлорид
*) Бесцветный газ со слабым сладковатым запахом, напоминающим запах хлороформа; простейшее хлорпроизводное этилена
*) Чрезвычайно огне– и взрывоопасен, выделяет при горении токсичные вещества
*) Сильный яд, оказывающий на человека канцерогенное, мутагенное и тератогенное действие
*) Его промышленное производство входит в первую десятку производства крупнейших многотоннажных продуктов основного органического синтеза; при этом почти весь производимый объём используется для дальнейшего синтеза поливинилхлорида (ПВХ), мономером которого и является винилхлорид
Mnemonic rule

синильная кислота
*) Молекула HCN имеет линейное строение
*) Бесцветная, очень летучая, легкоподвижная ядовитая жидкость, имеющая характерный запах горького миндаля
*) Содержится в некоторых растениях, коксовом газе, табачном дыме, выделяется при термическом разложении нейлона, полиуретанов
*) Синильная кислота и её соли, растворённые в крови, достигают тканей, где вступают во взаимодействие с трёхвалентной формой железа цитохромоксидазы. Соединившись с цианидом, цитохромоксидаза теряет способность переносить электроны на молекулярный кислород. Вследствие выхода из строя конечного звена окисления блокируется вся дыхательная цепь и развивается тканевая гипоксия. С артериальной кровью кислород доставляется к тканям в достаточном количестве, но не усваивается ими и переходит в неизмененном виде в венозное русло. В результате нарушаются функции центральной нервной системы.
*) Также подавляется активность и других ферментов — каталазы, пероксидазы, лактатдегидрогеназы.
Mnemonic rule

пероксид водорода
*) Простейший представитель пероксидов
*) Бесцветная жидкость с «металлическим» вкусом, неограниченно растворимая в воде, спирте и эфире
*) Концентрированные водные растворы взрывоопасны
*) Связь O—O непрочна, поэтому H2O2 — неустойчивое соединение, легко разлагается на H2O и O2
*) Пероксид водорода относится к реактивным формам кислорода, и при повышенном образовании в клетке вызывает оксидативный стресс. Некоторые ферменты, например глюкозоксидаза, образуют в ходе окислительно–восстановительной реакции пероксид водорода, который может играть защитную роль в качестве бактерицидного агента.
Mnemonic rule

селенометионин
*) Протеиногенная селеносодержащая аминокислота
*) Содержится в плодах бразильского ореха, зерновых, соевых бобах и других бобовых
*) Он быстро окисляется, и его антиоксидантная активность обусловлена способностью нейтрализовать реактивные формы кислорода
*) Селен и сера относятся к халькогенам, и их химические свойства во многом сходны, поэтому замена метионина на селенометионин имеет лишь ограниченное действие на структуру и функцию белка
*) Его противораковое действие обусловлено способностью к ферментативному (при помощи метиониназы) расщеплению до метанселенола (CH3SeH), который, как предполагается, играет чрезвычайно важную роль в противодействии раку
Mnemonic rule

селеноцистеин
*) Протеиногенная аминокислота
*) Входит в состав активного центра фермента глутатионпероксидазы, а также в состав селенопротеинов
*) На мРНК селеноцистеин кодируется стоп–кодоном UGA при условии, что за ним следует особая стимулирующая последовательность нуклеотидов (трансляционное перекодирование)
*) Он не существует в свободном виде внутри клетки, так как его высокая реакционная активность может нанести вред клетке. Вместо этого клетка хранит селен в форме менее активного селенида (H2Se)
Mnemonic rule

пропадиен
Простейший аллен. Название образовано понятным образом, как производное от названия соответствующего алкана – пропана.
Диены – это молекулы, имеющие две двойных связи углерод-углерод. Расположение этих связей может быть разным. Подкласс диенов, у молекул которого двойные связи идут друг за другом подряд, называется алленами. (МП: «аллея из двух двойных связей»).
Mnemonic rule

бутадиен–1,3
*) Иначе – дивинил, или бутадиен–1,3. Простейший представитель сопряжённых диеновых углеводородов
*) Газ с характерным неприятным запахом. В воздухе с концентрацией 2–10% образует взрывоопасную смесь
*) Легко полимеризуется. Полимеризацией бутадиена получают синтетические каучуки.
Mnemonic rule

трет–бутил
*) Эффект, который проявляет трет-бутильная группа, воздействуя на прогресс химической реакции, называют трет-бутиловый эффект
Mnemonic rule

аденин
*) Азотистое основание
*) Образует две водородных связи с урацилом и тимином
*) Входит в состав многих жизненно важных для живых организмов соединений, таких как: аденозин, аденозинфосфотазы, аденозинфосфорные кислоты, нуклеиновые кислоты, адениновые нуклеотиды и др. В виде этих соединений аденин широко распространен в живой природе.
Mnemonic rule

гуанин
) Азотистое основание. Является составной частью нуклеиновых кислот. В хромосоме образует три водородных связи с цитозином. ) Обладает серебристым цветом и присутствует в качестве пигмента в чешуе многих видов рыб *) Содержится в стенках плавательных пузырей глубоководных рыб, где микроскопические чешуйки гуанина служат для снижения потерь газа в крови
Mnemonic rule
.png?t=1679043556)
пиран (оксин)
*) Неароматическое кольцо
*) Сами по себе пираны играют незначительную роль в химии, но многие их производные – важные в биохимии молекулы, например пиранофлавоноиды
Mnemonic rule
.png?t=1679069225)
буфотенин (5–HO–DMT)
*) Алкалоид, обнаруживаемый в коже некоторых жаб, в некоторых видах грибов и в некоторых растениях (леспедеца двуцветная, чалипонга, мукуна жгучая и т.д.) и животных. Термин происходит от названия рода жаб Bufo, таких как колорадская жаба и тростниковая жаба.
*) Галлюциноген. Побочные последствия – тошнота, рвота, мидриаз (расширение зрачков), нистагм (непроизвольные колебательные движения глаз высокой частоты – до нескольких сотен в минуту), незначительно повышение пульса и артериального давления
Mnemonic rule
от рогатой жабы у серотонина выросли рога
.png?t=1679236412)
кобаламин (B12)
цианокобаломин - радикал CN, большая часть витамина В12 поступает человеку именно в этой форме
Mnemonic rule
.jpg?t=1679236411)
рибофлавин (B2)
Mnemonic rule
рибо-молот: справа урацил, слева метиловые усы, 5 углеродов в теле и 4 плавника-гидроксила
 кислота.png?t=1679494275)
гликолевая (гидроксиуксусная) кислота
) Простейшая гидроксикислота ) Соли и анионы гликолевой кислоты называются гликолатами *) В природе содержится в винограде, сахарной свекле, сахарном тростнике
Mnemonic rule

бензимидазол
) Сопряженные кольца бензола и имидазола
) Практического значения не имеет
*) Ряд его производных являются биологически активными соединениями, например N-рибозил-гликозид бензимидазола является лигандом, координирующим кобальт в витамине B12. Ряд производных бензимидазола применяются в качестве лекарств (дибазол, омепразол, мебендазол и др.)
Mnemonic rule

гуанидин
*) Находится в моче как продукт нормального метаболизма белков
*) Обладает фунгицидной и бактерицидной активностью
*) Является сильным основанием
*) Гуанидинхлорид используют для денатурации белков
*) Гуанидины — группа органических соединений, включающих в себя гуанидин. Например бигуаниды — гипогликемические лекарственные средства, используемые при сахарном диабете 2–го типа.
*) Соли гуанидина применяют в промышленности: динитрат — как взрывчатое вещество, нитрат — в качестве монотоплива, фосфат — в текстильной промышленности для придания огнеупорных свойств тканям, карбонат — в синтезе поверхностно–активных веществ и косметике для выпрямления волос
*) Нитрогуанидин, нитрат гуанидиния, перхлорат гуанидиния используют в качестве ракетного топлива
*) Токсичен, вызывает при попадании на кожу щелочной ожог
Mnemonic rule

фитол
) Относится к одноненасыщенным дитерпенам, основу которых составляют остатки изопрена ) Входит в состав хлорофилла, витамина Е, витамина K1 как заместитель фитил *) Служит стимулятором роста для молочнокислых бактерий
Mnemonic rule

мочевая кислота
*) У человека и приматов — конечный продукт обмена пуринов, образующийся в результате ферментативного окисления ксантина под действием ксантиноксидазы; у остальных млекопитающих мочевая кислота превращается в аллантоин
*) Небольшие количества мочевой кислоты содержатся в тканях (мозг, печень, кровь), а также в моче и поте
*) У птиц, ряда пресмыкающихся и большинства наземных насекомых мочевая кислота — конечный продукт не только пуринового, но и белкового обмена
*) Система биосинтеза мочевой кислоты (а не мочевины, как у большинства позвоночных) в качестве механизма связывания в организме более токсичного продукта азотистого обмена — аммиака — развилась у этих животных в связи с характерным для них ограниченным водным балансом (мочевая кислота выводится из организма с минимальным количеством воды или даже в твёрдом виде). Высохшие экскременты птиц (гуано) содержат до 25% мочевой кислоты. Обнаружена она и в ряде растений.
Mnemonic rule

гопан
Некоторые бактерии производят гопаноиды и используют их в своих мембранах для увеличения их жёсткости. По сравнению с стерановыми молекулами гопаноиды придают больше жёсткости мембране.
Hopane is a natural chemical compound classified as a triterpene. It forms the central core of a variety of other chemical compounds which are collectively known as hopanoids. About 10% of sequenced bacterial genomes have a putative shc gene encoding a squalene-hopene cyclase and can presumably make hopanoids, which have been shown to play diverse roles in the plasma membrane and may allow some organisms to adapt in extreme environments.
Mnemonic rule

клавулановая кислота
*) Ингибитор бактериальных β–лактамаз, поэтому используется совместно с β–лактамными антибиотиками, часто входит в состав комбинированных препаратов
*) Имеет собственную антибактериальную активность и стимулирует антимикробный иммунитет – способна связываться с пенициллинсвязывающими белками (ПСБ) грамположительных и грамотрицательных бактерий и способствовать лизису бактериальной стенки
*) Особенно эффективна против бактероидов и других анаэробов, моракселлов, стафилококков и стрептококков, гонококков, атипичных бактерий, таких как хламидии и легионелла
Mnemonic rule

цис–ретиналь
) альдегид ретинола (витамина А) ) в светочувствительных клетках сетчатки ретиналь связан с белком опсином. Изначально он находится там в 11-цис-конфигурации, но при поглощении фотона выпрямляется в транс-конфигурацию, что приводит к изменению конформации опсина, а это в свою очередь запускает сигнальный каскад. В результате передачи этого сигнала возникает восприятие света и цвета.
Mnemonic rule

транс–ретиналь
) альдегид ретинола (витамина А) ) в светочувствительных клетках сетчатки ретиналь связан с белком опсином. Изначально он находится там в 11–цис–конфигурации, но при поглощении фотона выпрямляется в транс–конфигурацию, что приводит к изменению конформации опсина, а это в свою очередь запускает сигнальный каскад. В результате передачи этого сигнала возникает восприятие света и цвета.
Mnemonic rule
от фотона выпрямился в трансе

куркумин
-
основной куркуминоид, входящий в состав порошка куркумы. Используется в качестве пищевого красителя, входит в Кодекс Алиментариус под кодом E100.
-
натуральный ингибитор некоторых гистон–ацетилтрансфераз, обладающий умеренной активностью. Образ действия до сих пор неясен
Mnemonic rule

мальтоза
*) Природный дисахарид, состоящий из двух остатков глюкозы
*) Содержится в больших количествах в проросших зёрнах (солоде) ячменя, ржи и других зерновых; обнаружен также в томатах, в пыльце и нектаре ряда растений
*) Легко усваивается организмом человека. Расщепление до двух остатков глюкозы происходит в результате действия мальтазы, которая содержится в пищеварительных соках животных и человека, в проросшем зерне, в плесневых грибах и дрожжах.
Mnemonic rule
сладкая жизнь рыцарей гомиков-глюкоз на Мальте

галотан
*) Высокоактивное ингаляционное средство для наркоза, используемое самостоятельно (в смеси с воздухом, либо кислородом) или в сочетании с другими наркотическими средствами, главным образом с закисью азота для достижения хирургической стадии наркоза
*) Отличается лёгкой всасываемостью из дыхательных путей и быстрым выделением лёгкими в неизменённом виде; лишь небольшая его часть метаболизируется в организме. Оказывает быстрое наркотическое действие, прекращающееся вскоре после окончания ингаляции.
Mnemonic rule
заглотил гантелю и спишь

барбитураты
*) Группа лекарств, производных барбитуровой кислоты, оказывающих угнетающее влияние на ЦНС
*) Имеют узкую терапевтическую ширину, что может привести к передозировке и возникновению токсических эффектов; при длительном приёме возможно развитие зависимости
*) Всего было синтезировано более 2500 барбитуратов. Около 10 препаратов сейчас находятся в коммерческой продаже.
Mnemonic rule
азото-кислородный орден за угнетение
.jpg?t=1695710728)
S–аденозилметионин (SAM)
*) Большинство метилирующих ферментов требуют именно S-аденозилметионин в качестве кофактора. В том числе ферменты, метилирующие ДНК и хвосты гистонов.
*) Метильная группа, которая присоединена к атому серы в молекуле метионина, в составе S-аденозилметионина является химически активной. Поэтому она может быть перенесена на молекулу субстрата в трансметилазной реакции. Более сорока метаболических реакций требуют переноса метильной группы от S-аденозилметионина на такие субстраты, как нуклеиновые кислоты, белки и липиды.
Mnemonic rule

никотинамид
*) Амид никотиновой кислоты, витамин
*) Лечит авитаминозы – оказывает противопеллагрическое действие, вызванные дефицитом витамина PP, как и ниацин
*) Является важным компонентом в молекуле фермента кодегидрогеназы I (НАД) и II (НАДФ), участвующей в окислительно–восстановительных биохимических процессах в клетках
*) Участвует в метаболизме жиров, белков, аминокислот, пуринов, тканевом дыхании, гликогенолизе
Mnemonic rule
.png?t=1712216732)
эргокальциферол (витамин Д2)
*) Эргокальциферо́л (витамин D2) — одна из форм витамина D. Регулирует обмен кальция и фосфора в организме.
*) Эргокальциферол может поступать в организм только с пищей, в отличие от холекальциферола, который помимо поступления с пищей может вырабатываться кожей человека под действием ультрафиолетового излучения диапазона «B» (обычно под прямыми солнечными лучами). В иных организмах, например диких грибах, эргокальциферол образуется при воздействии ультрафиолета на эргостерол.
Mnemonic rule

биотин
*) Biotin (also known as vitamin B7 or vitamin H) is one of the B vitamins. It is involved in a wide range of metabolic processes, both in humans and in other organisms, primarily related to the utilization of fats, carbohydrates, and amino acids.
*) Биотинирование - ковалентное присоединение к белку молекулы биотина. Одна из эпигенетических меток в модификации аминокислотных остатков в гистонах.
Mnemonic rule
в одной молекуле мочевина и ядовитая сера - и это всё равно биотин

инозин
*) нуклеозид, состоящий из гипоксантина, связанного с остатком рибозы (рибофуранозы)
*) инозин является компонентом тРНК и необходим для трансляции, потому что он участвует в формирования неоднозначных пар оснований (wobble base pairing) - таких пар, которые не входят в обычный (Уотсон-Криковский) набор пар оснований. Основные неоднозначные пары: гуанин+урацил и гипоксантин (или инозин) + урацил, аденин или цитозин.
*) на эндогенные двухцепочечные РНК действуют ферменты аденин-деаминазы, которые превращают аденины в инозины и таким образом препятствуют запуску врождённой иммунной системы.
Mnemonic rule
иной нуклеозид, образованный от самого первого (аденозина)
- 0ортофосфорная кислота ++
- 0карбонильная группа ++
- 0карбоксильная группа ++
- 0карбоксамидная группа ++
- 0тиольная группа ++
- 0аминогруппа ++
- 0нитрогруппа ++
- 0метоксигруппа ++
- 0циан ++
- 0метан ++
- 0тефлон ++
- 0этан ++
- 0этилен ++
- 0ацетилен (этин) ++
- 0этанол (этиловый спирт) ++
- 0диэтиловый эфир ++
- 0глиоксаль ++
- 0этаноламин ++
- 0диэтаноламин ++
- 0триэтаноламин ++
- 0этиленгликоль ++
- 0альдегиды ++
- 0формальдегид ++
- 0кетоны ++
- 0ацильная группа ++
- 0ацетильная группа ++
- 0ацетон ++
- 0мочевина ++
- 0селеномочевина ++
- 0тиомочевина ++
- 0пропан ++
- 0пропанол–1 ++
- 0изопропанол ++
- 0бутан ++
- 0бутил ++
- 0аммиак ++
- 0аммоний ++
- 0амины ++
- 0ацетальдегид (этаналь) ++
- 0изопрен ++
- 0хлоропрен ++
- 0эпоксиды (оксираны) ++
- 0циклопентан ++
- 0циклопентанон ++
- 0циклогептан ++
- 0циклогептанон ++
- 0циклооктан ++
- 0циклооктатетраен ++
- 0циклогексан ++
- 0циклогексанон ++
- 0гексахлоран ++
- 0бензол ++
- 0бензоциклопропен ++
- 0толуол (метилбензол) ++
- 0тринитротолуол (тол, тротил) ++
- 0фенол ++
- 0стирол ++
- 0хлорбензол ++
- 0дифенилцинк ++
- 0бензойная кислота ++
- 0надбензойная (пероксибензойная) кислота ++
- 0нитробензол ++
- 0бензойный альдегид ++
- 0ацетофенон ++
- 0бензиловый спирт ++
- 0бифенил–4,4–дикарбоновая кислота ++
- 0бисфенол А ++
- 0бензилпиперазин ++
- 0дифениламин ++
- 0салициловая (фенольная) кислота ++
- 0салициламид ++
- 0фавипиравир ++
- 0ацетилсалициловая кислота (аспирин) ++
- 0анилин (аминобензол) ++
- 0анилиды ++
- 0N,N–диметиланилин ++
- 0ацетанилид ++
- 0парацетамол ++
- 0пара–аминобензойная кислота ++
- 0азобензол ++
- 0пирокатехин ++
- 0гваякол ++
- 0резорцин ++
- 0гидрохинон ++
- 0хинон (пара–бензохинон) ++
- 0орто–бензохинон ++
- 0хингидрон ++
- 0флороглюцин ++
- 0пикриновая кислота (2,4,6–тринитрофенол) ++
- 02,4–динитрофенол ++
- 0протокатеховая кислота ++
- 0галловая кислота ++
- 0шикимовая кислота ++
- 0пирогаллол ++
- 0меллитовая кислота ++
- 0кумол ++
- 0цимол ++
- 0карвакрол ++
- 0тимол ++
- 0ментон ++
- 0туйон ++
- 0ментол ++
- 0валидол ++
- 0тропан ++
- 0тропин ++
- 0атропин ++
- 0тропинон ++
- 0псевдотропин ++
- 0экгонин ++
- 0метилэкгонин ++
- 0бензоилэкгонин ++
- 0кокаин ++
- 0тропакокаин ++
- 0норэкгонин ++
- 0азенапин ++
- 0карбоновые кислоты ++
- 0муравьиная кислота ++
- 0уксусная кислота ++
- 0ацетоуксусная кислота ++
- 0дихлоруксусная кислота ++
- 0надуксусная (перуксусная) кислота ++
- 0трифторуксусная (трифторэтановая) кислота ++
- 0фенилуксусная кислота ++
- 0пирослизевая кислота ++
- 0пропионовая (пропановая) кислота ++
- 0ГАМК ++
- 0лизин ++
- 0гидроксилизин ++
- 0орнитин ++
- 0валериановая кислота ++
- 0изовалериановая кислота ++
- 0вальпроевая кислота ++
- 0капроновая (гексановая) кислота ++
- 0аминокапроновая кислота ++
- 0коричная кислота ++
- 0коричный спирт ++
- 0кофейная кислота ++
- 0анетол ++
- 0миндальная кислота ++
- 0щавелевая кислота ++
- 0оксалоацетат (щавелевоуксусная кислота) ++
- 0молочная кислота ++
- 0пировиноградная кислота ++
- 0янтарная кислота ++
- 0фумаровая кислота ++
- 0левулиновая кислота ++
- 0аминолевулиновая кислота ++
- 0малеиновая кислота ++
- 0малеимид ++
- 0слизевая кислота ++
- 0японовая кислота ++
- 0глицин ++
- 0аланин ++
- 0серин ++
- 0фенилаланин ++
- 0ДОФА (L–дигидроксифенилаланин) ++
- 0метилдопа (метилдофа) ++
- 0тирозин ++
- 0тирамин ++
- 0гистидин ++
- 0гистамин ++
- 0валин ++
- 0лейцин ++
- 0норлейцин ++
- 0изолейцин ++
- 0пеницилламин ++
- 0метионин ++
- 0цистеин ++
- 0глутаминовая кислота ++
- 0глутамин ++
- 0пролин ++
- 0гидроксипролин ++
- 0урацил ++
- 05–фторурацил ++
- 0цитозин ++
- 0тимин ++
- 0фенилэтиламин ++
- 0дофамин ++
- 0норадреналин (норэпинефрин) ++
- 0адреналин (эпинефрин) ++
- 0амфетамин ++
- 0пара–метоксиамфетамин (PMA) ++
- 0метамфетамин ++
- 04–фторамфетамин ++
- 0DOM (2,5–диметокси–4–метиламфетамин) ++
- 0эфедрин ++
- 0мескалин ++
- 0эскалин ++
- 0проскалин ++
- 0изопроскалин ++
- 0бускалин ++
- 0α–метилмескалин ++
- 0пиррол ++
- 0пирролин (дигидропиррол) ++
- 0пирролидин ++
- 0пирролидон (γ–лактам) ++
- 0имидазол ++
- 0индол ++
- 0скатол ++
- 0гетероауксин (индолил–3–уксусная кислота) ++
- 05,6–дигидроксииндол ++
- 0триптамин ++
- 0N,N–диметилтриптамин (DMT) ++
- 0серотонин ++
- 0мелатонин ++
- 0псилоцибин ++
- 0псилоцин (4–HO–DMT) ++
- 0триптофан ++
- 0индоксил ++
- 0изатин ++
- 0индиго ++
- 0гексоген ++
- 0алтретамин ++
- 0фуран ++
- 0бензофуран ++
- 0фурфурол ++
- 0фурфуриловый спирт ++
- 0тиофен ++
- 0сквараиновая (квадратная) кислота ++
- 0глицерин ++
- 0нитроглицерин ++
- 0лимонная кислота ++
- 0лактамы ++
- 0β–лактам ++
- 0карбапенемы ++
- 0пенициллины ++
- 0бензилпенициллин ++
- 0ампициллин ++
- 0амоксициллин ++
- 0метициллин ++
- 0сульбактам ++
- 0тазобактам ++
- 0антрацен ++
- 0декалин ++
- 01,4–нафтохинон ++
- 0порфин ++
- 0холин ++
- 0ацетилхолин ++
- 0нейрин ++
- 0хлороформ ++
- 0сафрол ++
- 0гелиотропин ++
- 0нафталин ++
- 0берберин ++
- 0стеран ++
- 0холестерол (холестерин) ++
- 0прегненолон ++
- 0прогестерон ++
- 0гидроксипрогестерон ++
- 0гидроксипрегненолон ++
- 0дегидроэпиандростерон (ДГЭА) ++
- 0дезоксикортикостерон (дезоксикортон) ++
- 0кортикостерон ++
- 011–деоксикортизол ++
- 0кортизол (гидрокортизон) ++
- 0кортизон ++
- 0альдостерон ++
- 0ланостерол ++
- 0глюкоза (глюкопираноза) ++
- 0кофермент Q (убихинон) ++
- 0пластохинон ++
- 0путресцин ++
- 0кадаверин ++
- 0иприт ++
- 0ДДТ ++
- 0сульфаниловая кислота ++
- 0таурин ++
- 0гипотаурин ++
- 0сульфиновые кислоты ++
- 0кумарин ++
- 0пиридин ++
- 0пиперидин ++
- 0кониин ++
- 0конгидрин ++
- 0пиримидин ++
- 0пиразин ++
- 0пиперазин ++
- 0никотиновая кислота ++
- 0циклобутадиен ++
- 0циклобутен ++
- 0триазины ++
- 0сфингозин ++
- 0церамиды ++
- 0дубильная кислота ++
- 0спермидин ++
- 0спермин ++
- 0β–D–фруктопираноза (фруктоза) ++
- 0хинин ++
- 0хлорохин ++
- 0инозитол ++
- 0кардиолипин ++
- 0аспарагиновая кислота ++
- 0ретиноевая кислота ++
- 0метандиенон ++
- 0эргостерол ++
- 0бета–ситостерол ++
- 0болденон ++
- 0треонин ++
- 0арахидоновая кислота ++
- 0тестостерон ++
- 0дигидротестостерон ++
- 0эстрадиол ++
- 0андростенон ++
- 0холекальциферол ++
- 0аспарагин ++
- 0прегабалин ++
- 0аргинин ++
- 0цитруллин ++
- 0никотин ++
- 0пентан ++
- 0изопентан ++
- 0неопентан ++
- 01–пентанол ++
- 0геосмин ++
- 0яблочная кислота ++
- 05–гидрокситриптофан (5–HTP) ++
- 0маннопираноза ++
- 09,10–дитиоантрацен ++
- 0фенантрен ++
- 0морфин ++
- 0изохинолин ++
- 0хинолин (бензпиридин) ++
- 0героин (диацетилморфин) ++
- 0гем B ++
- 0винилхлорид ++
- 0синильная кислота ++
- 0пероксид водорода ++
- 0селенометионин ++
- 0селеноцистеин ++
- 0гомоцистеин ++
- 0пропадиен ++
- 0бутадиен–1,3 ++
- 0трет–бутил ++
- 0карбоксиглутаминовая кислота ++
- 0камфора ++
- 0мирцен ++
- 0R–лимонен ++
- 0аденин ++
- 0гуанин ++
- 0пиран (оксин) ++
- 0буфотенин (5–HO–DMT) ++
- 0дезоксирибоза ++
- 0кобаламин (B12) ++
- 0рибофлавин (B2) ++
- 0статин ++
- 0рибоза (рибофураноза) ++
- 0гликолевая (гидроксиуксусная) кислота ++
- 0пантоевая кислота ++
- 0пантотеновая кислота (B5) ++
- 0ретинол ++
- 0бензимидазол ++
- 0гуанидин ++
- 0малахитовый зелёный ++
- 0бриллиантовый зелёный ++
- 0гипоглицин ++
- 0кристаллический фиолетовый ++
- 0пиразол ++
- 0коррин ++
- 0масляная кислота ++
- 0фитол ++
- 0этилацетат ++
- 0мочевая кислота ++
- 0гипоксантин ++
- 0ксантин ++
- 0гопан ++
- 0клавулановая кислота ++
- 0цис–ретиналь ++
- 0транс–ретиналь ++
- 0нафтол ++
- 0куркумин ++
- 0мальтоза ++
- 0галотан ++
- 0барбитураты ++
- 0S–аденозилметионин (SAM) ++
- 0ресвератрол ++
- 0псевдоуридин ++
- 0никотинамид ++
- 0никотинамидадениндинуклеотид (NAD) ++
- 0флавинадениндинуклеотид (FAD) ++
- 0никотинамидадениндинуклеотидфосфат (NADP) ++
- 0левоцетиризин (L–цетиризин) ++
- 0эргокальциферол (витамин Д2) ++
- 0ацетил–CoA ++
- 0биотин ++
- 0инозин ++














 кислота.png?t=1591645410)


.png?t=1676099994)













.png?t=1676396319)








.png?t=1679236411)

.png?t=1679764637)














.png?t=1701157149)
.png?t=1701157150)
.png?t=1702951883)
.png?t=1703405288)
