Molecules
Choose folder to compare with

альдегиды
) Вещества вида R-CHO, в которых карбонильная группа связана с одним атомом водорода и одной группой R
) Названия простых альдегидов образуются от названий соответствующих алканов с добавлением суффикса -аль, а диальдегидов — суффикса -диаль
) Номер при альдегидной группе не ставят, поскольку она всегда занимает крайнее положение (иначе это уже будет кетон)
) Если в данном соединении альдегидная группа не является старшей, то в таких случаях её обозначают используя приставку формил-, указывая её положение (например: 4-формил-бензойная кислота)
*) Альдегидная группа содержится во многих природных веществах, таких, как углеводы (альдозы), некоторые витамины (ретиналь, пиридоксаль). Их следы содержатся в эфирных маслах и часто способствуют их приятному запаху, например, коричный альдегид и ванилин.
Mnemonic rule

кетоны
) Органические вещества, в молекулах которых карбонильная группа связана с двумя углеводородными радикалами
) Названия алифатических и алициклических кетонов образуют, прибавляя суффикс -он или -дион (для дикетонов) к названию родоначального углеводорода. Дикетоны ароматического ряда с кетонными группами в ядре называют сокращённым названием углеводорода, добавляя суффикс -хинон
*) Кетоны — летучие жидкости или легкоплавкие твёрдые вещества
Mnemonic rule

карбоновые кислоты
) Класс органических соединений, молекулы которых содержат одну или несколько функциональных карбоксильных групп COOH
) Кислые свойства объясняются тем, что данная группа может сравнительно легко отщеплять протон, поскольку карбонильный кислород дополнительно оттягивает на себя электрон от протона. За редкими исключениями карбоновые кислоты являются слабыми.
*) Разнообразные карбоновые кислоты очень широко распространены в природе
Mnemonic rule

муравьиная кислота
) Первый представитель в ряду насыщенных одноосновных кислот
) Своё название получила потому, что впервые она была выделена в 1670 году английским натуралистом Джоном Рэйем из рыжих лесных муравьёв
) В природе также обнаружена у пчёл, в крапиве, хвое
) Соли и анионы муравьиной кислоты называются формиатами
) При стандартных условиях представляет собой резко пахнущую бесцветную жидкость
) Растворима в ацетоне, бензоле, глицерине, толуоле
*) Кроме кислотных свойств, проявляет также некоторые свойства альдегидов, в частности, восстановительные. При этом она окисляется до углекислого газа.
Mnemonic rule

уксусная кислота
) Бесцветная жидкость с характерным резким запахом и кислым вкусом
) Соли и сложные эфиры уксусной кислоты называются ацетатами
) Уксус является продуктом брожения вина и известен человеку с давних времен
) В Древнем Риме готовили специально прокисшее вино в свинцовых горшках. В результате получался очень сладкий напиток, который называли «сапа». Сапа содержала большое количество ацетата свинца — очень сладкого вещества, которое также называют свинцовым сахаром или сахаром Сатурна. Высокая популярность сапы была причиной хронического отравления свинцом, распространённого среди римской аристократии.
*) Абсолютная уксусная кислота называется ледяной, так как при замерзании образует льдовидную массу
Mnemonic rule
 кислота.png?t=1591637368)
пропионовая (пропановая) кислота
) Бесцветная едкая жидкость с резким запахом
) Является наименьшей кислотой, проявляющей свойства жирных кислот
) Соли и анионы пропионовой кислоты называются пропионатами
) В природе пропионовая кислота найдена в нефти, образуется при брожении углеводов
) Также её получают биологически при метаболическом разложении жирных кислот, содержащих нечётное число атомов углерода, и при разложении некоторых аминокислот. Бактерии рода Propionibacterium производят пропионовую кислоту как конечный продукт своего анаэробного метаболизма. Эти бактерии часто встречаются в желудке жвачных животных и в силосе, и отчасти из-за их деятельности швейцарский сыр имеет свой аромат.
) Пропионовая кислота и её производные применяют в производстве гербицидов, лекарственных средств (ибупрофен, феноболин и др.), душистых веществ (бензил-, фенил-, геранил-, линалоил- пропионаты), пластмасс (например, поливинилпропионата), растворителей (пропил-, бутил-, пентилпропионата и др.), винилпластификаторов и ПАВ (гликолевые эфиры)
*) Препятствует росту плесени и некоторых бактерий, поэтому большая часть производимой пропионовой кислоты используется как консервант в продуктах
Mnemonic rule

яблочная кислота
) Соли и сложные эфиры яблочной кислоты называются малатами
) Содержится в незрелых яблоках, винограде, рябине, барбарисе, малине, апельсине, мандарине, лимоне и др.
) В растениях махорки и табака содержится в виде химического соединения с никотином
) В цикле Кребса яблочная кислота образуется путём гидратации фумаровой кислоты и далее окисляется коферментом НАД+ в щавелевоуксусную кислоту
Mnemonic rule
крупное яблоко ОН свисает с чистой янтарной ветки

янтарная кислота
) Содержится в небольших количествах во многих растениях, янтаре
) Стимулирует рост и повышает урожай растений
) Соли и эфиры янтарной кислоты называются сукцинатами (лат. succinum — янтарь)
) Участвует в процессе клеточного дыхания кислорододышащих организмов (цикл Кребса)
Mnemonic rule
чистая как янтарь

цитозин
*) Азотистое основание. С рибозой образует нуклеозид цитидин, входит в состав нуклеотидов ДНК и РНК. Во время репликации и транскрипции по принципу комплементарности образует три водородных связи с гуанином.
Mnemonic rule
полный набор: N, NH, NH2

гуанин
) Азотистое основание. Является составной частью нуклеиновых кислот. В хромосоме образует три водородных связи с цитозином. ) Обладает серебристым цветом и присутствует в качестве пигмента в чешуе многих видов рыб *) Содержится в стенках плавательных пузырей глубоководных рыб, где микроскопические чешуйки гуанина служат для снижения потерь газа в крови
Mnemonic rule

глицин
) Простейшая алифатическая аминокислота, единственная протеиногенная аминокислота, не имеющая оптических изомеров. Заменимая. ) Из глицина в клетках синтезируются порфирины и пуриновые основания ) Является нейромедиаторной аминокислотой, проявляющей двоякое действие. Глициновые рецепторы имеются во многих участках головного и спинного мозга. Связываясь с рецепторами, глицин вызывает тормозящее воздействие на нейроны, уменьшает выделение из нейронов возбуждающей глутаминовой кислоты, и повышает выделение тормозящей ГАМК. С другой стороны, глицин связывается со специфическими участками NMDA-рецепторов и, таким образом, способствует передаче сигнала от возбуждающих нейротрансмиттеров глутамата и аспартата. ) Не проникает через гематоэнцефалический барьер, так же как и аланин, пролин, серин, ГАМК
Mnemonic rule

аланин
) 2-аминопропановая кислота) — алифатическая протеиногенная аминокислота
) Аланин легко превращается в печени в глюкозу. Этот процесс носит название глюкозо-аланинового цикла и является одним из основных путей глюконеогенеза в печени
Mnemonic rule

валин
) Одна из протеиногенных аминокислот, входит в состав практически всех известных белков. Незаменимая для человека аминокислота.
) Один из главных компонентов в росте и синтезе тканей тела. Вместе с лейцином и изолейцином служит источником энергии в мышечных клетках, а также препятствует снижению уровня серотонина. Повышает мышечную координацию и понижает чувствительность организма к боли, холоду и жаре и т.д.
) Используется для лечения наркоманий, депрессий (несильное стимулирующее соединение); рассеянного склероза, так как защищает миелиновую оболочку, окружающую нервные волокна в головном и спинном мозге.
) Необходим для поддержания нормального обмена азота в организме.
Mnemonic rule

цистеин
) Протеиногенная заменимая аминокислота (может синтезироваться в организме млекопитающих из серина с участием метионина как источника серы, а также АТФ и витамина В6)
) В некоторых микроорганизмах источником серы для синтеза цистеина может быть сероводород
) Способствует пищеварению, участвуя в процессах переаминирования
) Входит в состав α-кератинов, основного белка ногтей, кожи и волос. Способствует формированию коллагена и улучшает эластичность и текстуру кожи. Входит в состав и других белков, в том числе некоторых пищеварительных ферментов.
) Имеет значение для дезинтоксикационных процессов - способствует обезвреживанию некоторых токсических веществ и защищает организм от повреждающего действия радиации
) Один из самых мощных антиоксидантов, при этом его антиоксидантное действие усиливается при одновременном приеме витамина С и селена.
*) Является предшественником глутатиона — вещества, оказывающего защитное действие на клетки печени и головного мозга от повреждения алкоголем, некоторыми лекарственными препаратами и токсическими веществами, содержащимися в сигаретном дыме
Mnemonic rule

Mnemonic rule
аспарагус - не яблоко, поэтому в яблочной кислоте надо гидроксильное яблоко заменить на аминогруппу

глутамин
) Протеиногенная, заменимая аминокислота
) Является амидом моноаминодикарбоновой глутаминовой кислоты, образуясь из неё в результате прямого аминирования под воздействием глутаминсинтетазы
) В растворе глутамин медленно гидролизуется до глутаминовой кислоты
) Может превращаться в ГАМК
Mnemonic rule
) орнитин с приклеившимся (glue) кислородом
) глутаминовая кислота, у которой дальний гидроксил заменен аминогруппой

пролин
) Гетероциклическая аминокислота, в которую атом азота входит в составе вторичного, а не первичного, амина (в связи с чем пролин правильнее называть иминокислотой)
) Одна из протеиногенных аминокислот
) Особенно богат пролином основной белок соединительной ткани — коллаген. Обладая конформационно жёсткой структурой, пролин сильно изгибает пептидную цепь. Участки белков с высоким содержанием пролина часто формируют вторичную структуру полипролиновой спирали II типа. В составе коллагена пролин при участии аскорбиновой кислоты окисляется в гидроксипролин. Чередующиеся остатки молекулы пролина и гидроксипролина способствуют созданию стабильной трёхспиральной структуры коллагена, придающей молекуле прочность.
) В организме пролин синтезируется из глутаминовой кислоты
Mnemonic rule

гидроксипролин
) Отличается от пролина наличием гидроксильной группы у одного из атомов углерода
) Входит в состав белка коллагена, входящего в соединительную ткань, а также в желатин
*) Синтезируется из пролина. Для синтеза необходим молекулярный кислород и витамин C.
Mnemonic rule

фенилаланин
) Ароматическая протеиногенная альфа-аминокислота. По химическому строению его можно представить как аланин, в котором один из водородов замещён фенильной группой
) Существует в двух оптически изомерных формах l и d и в виде рацемата
*) Участвуя в гидрофобных и стэкинг-взаимодействиях, играет значительную роль в фолдинге и стабилизации белковых структур, является составной частью функциональных центров
Mnemonic rule

тирозин
) Ароматическая протеиногенная альфа-аминокислота, отличается от фенилаланина наличием фенольной гидроксильной группы в пара-положении бензольного кольца
) Известны менее важные с биологической точки зрения мета- и орто- изомеры тирозина
) Во многих ферментах именно тирозину отведена ключевая роль в ферментативной активности и её регуляции
) Местом атаки фосфорилирующих ферментов протеинкиназ часто является именно фенольный гидроксил остатков тирозина. Остаток тирозина в составе белков может подвергаться и другим посттрансляционным модификациям.
Mnemonic rule
- 0альдегиды ++
- 0формальдегид ++
- 0кетоны ++
- 0карбоновые кислоты ++
- 0муравьиная кислота ++
- 0уксусная кислота ++
- 0пропионовая (пропановая) кислота ++
- 0гликолевая (гидроксиуксусная) кислота ++
- 0малоновая (пропандиовая) кислота ++
- 0молочная кислота ++
- 0яблочная кислота ++
- 0пировиноградная кислота ++
- 0виноградная (винная) кислота ++
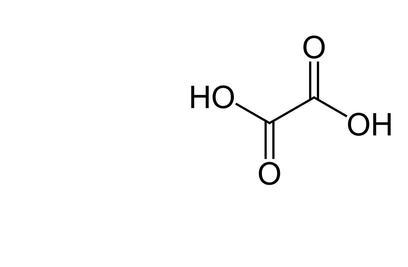
- 0щавелевая кислота ++
- 0янтарная кислота ++
- 0урацил ++
- 0тимин ++
- 0цитозин ++
- 0аденин ++
- 0гуанин ++
- 0глицин ++
- 0аланин ++
- 0валин ++
- 0лейцин ++
- 0изолейцин ++
- 0метионин ++
- 0цистеин ++
- 0аспарагиновая кислота ++
- 0аспарагин ++
- 0глутаминовая кислота ++
- 0глутамин ++
- 0пролин ++
- 0гидроксипролин ++
- 0серин ++
- 0фенилаланин ++
- 0тирозин ++
- 0гистидин ++

 кислота.png?t=1592054284)
 кислота.png?t=1591713088)


 кислота.png?t=1591637663)










